电池中国网  >  资讯  >  行业动态
解读:电动汽车动力电池“能量密度”
2017-05-08 09:03:00
关键词:电动汽车动力电池

1494037444386053363.jpg


  纯电动车电池的能量密度高低有多重要?

  这似乎就像在讨论心脏的跳动对于人体有多重要一般,一纯电动车,或者说的更标准一点,一辆电池动力车的性能、续航里程、可靠性都取决于其电池包内的电池数量以及单节电池内的能量密度。这个公式很好理解:总电量=电池数量×单节电池能量密度。

  而现代汽车的结构设计其实已经很死板了,留给电池组的空间也就那么一点,大部分车型都集中在坐舱地板下方,当然这也是出于安全性和空间性的考虑。

  所以说,电池数量已经被限制在某一个区间内,无法大幅提升。想要增强电池车性能,唯有在能量密度上做文章。

  首先,什么是电池能量密度?

  能量密度(Energy density)是指在一定的空间或质量物质中储存能量的大小。电池的能量密度也就是电池平均单位体积或质量所释放出的电能。电池能量密度=电池容量×放电平台/电池厚度/电池宽度/电池长度,基本单位为Wh/kg(瓦时/千克)。

  电池的能量密度越大,单位体积内存储的电量越多。


1-1.jpg

△圆柱形锂电池结构图


  关于电池能量密度,现在我们都知道了它俨然是目前电池行业,甚至是电动汽车行业向前大跨步的最明显的突破口,但是突破它,真的是很难啊!


1-2.jpg

△典型电池设计非活性物质(除引线等)的占比


  据悉,电池的能量密度基本由电池的正负极决定的,但只是正负极活性材料也不能保证电池能发上电,得有很多非活性物质,比如导电辅助剂、活性粉末之间的粘结剂、隔离膜、阴阳极的箔材、绝缘固定的胶纸、铝塑膜壳或者钢铝壳等等。

  我们中大部分人总是有意无意的忽略这部分物质的含量,得出的能量密度与事实相差较大,误导吃瓜群众。其实,这部分相当重要,就拿过去十几年的技术进步来说,电池能量密度的提升主要就是靠着活性物质占比的提升来实现的。


1-3.jpg

△能量密度的变化与预测


  除了提升活性物质占比,还有不少公司和企业在电池轻量化上下功夫。通过辅材(钢壳、箔材)轻量化技术和电芯空间利用率优化设计,来提升电池的能量密度,但是这种做法是有一定风险的。相对会牺牲一点单体电池在设计上的安全性和一致性,我认为这没有必要,毕竟电池的稳定关乎安全,一定要谨慎为之。


1-4.jpg

△此前特斯拉御用的松下18650电池


  还有的就是以增大原来电池尺寸来达到电量扩容的效果。

  我们最熟悉的例子莫过于:率先使用松下18650电池的知名电动车企特斯拉将换装新款21700电池。而原因并非18650电池有任何质量问题,只是18650电池单颗容量小,普遍在2-4Ah左右,串并联数量过多,单体失效风险概率较大,导致其在电动汽车领域的应用受到一定的限制。


1-5.jpg

△图中为21700电池


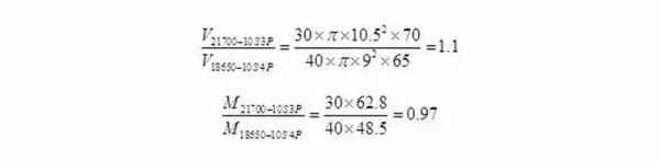
  而21700电池在尺寸上相比18650电池(直径18mm,长度65mm)更大,达到了直径21mm,长度70mm。如果想再形象一点来考虑这个问题,我们不妨来看看来自Hitech Energy的计算,仅考虑单体的密集堆积进行计算,可知:30支21700的体积是40支18650体积的1.1倍,质量则为0.97倍。


1-6.jpg


  在同等能量下,所需电池的数量可减少约1/3,电池包内部金属连接件数量减少,从而进一步降低电池包的重量,整车的能量密度将得到部分提升,达到接近300kw/kg。

  据我了解,在我国,电池系统能量密度的提升与政府补贴金额是密切相关的,所以很多相关企业都加紧了提升电池能量密度的步伐。2017年3月1日,中央四部委印发了《促进汽车动力电池产业发展行动方案》通知,明确指出了“将提高电池比能量作为今后的重点发展目标之一”。


1-7.jpg

△2016年的政府对于电池生产企业的补贴标准


  以下三点尤为引人注意:

  1.到2020年,锂离子动力电池单体比能量大于300Wh/kg;系统比能量争取达到260Wh/kg;成本小于1元/瓦时;使用环境达-30℃到55℃;具备3C充电能力。

  2.到2025年,单体比能量达500Wh/kg。

  3.力争实现单体电池350Wh/kg、系统260Wh/kg的锂离子电池产品产业化和整车应用。


1-8.jpg


  可以预见,随着政府的大力支持和倡导,电池技术和行业发展会迎来重大变革。作为纯电动车的命脉,电池单体能量密度肯定会有所提升,达到非常有竞争力的水平,届时对电动车产业的发展和推广的作用也是巨大的。

稿件来源: AutoLab
相关阅读:
发布
验证码: