
锂离子电池是一种高容量长寿命环保电池,具有诸多优点,广泛应用于储能、电动汽车、便携式电子产品等领域。电极极片是锂离子动力电池的基础,直接决定电池的电化学性能以及安全性。
锂电池电极是一种颗粒组成的涂层,均匀的涂敷在金属集流体上。锂离子电池极片涂层可看成一种复合材料,如图1所示,主要由三部分组成:(1)活性物质颗粒;(2)导电剂和黏结剂相互混合的组成相(碳胶相);(3)孔隙,填满电解液。各相的体积关系表示为:孔隙率 + 活物质体积分数 + 碳胶相体积分数 = 1 (1)

图1 极片微观结构示意图
锂电池极片的设计是非常重要的,现针对锂电池极片设计基础知识进行简单介绍。
(1)电极材料的理论容量
电极材料理论容量,即假定材料中锂离子全部参与电化学反应所能够提供的容量,其值通过下式计算:

其中,法拉第常数(F)代表每摩尔电子所携带的电荷,单位C/mol,它是阿伏伽德罗数NA=6.02214 ×1023mol-1与元电荷e=1.602176 × 10-19 C的积,其值为96485.3383±0.0083 C/mol。
例如,LiFePO4摩尔质量157.756 g/mol,其理论容量为:

三元材料NCM(1/1/1)(LiNi1/3Co1/3Mn1/3O2 ) 摩尔质量为96.461 g/mol,其理论容量为278 mAh/g
LiCoO2摩尔质量97.8698 g/mol,如果锂离子全部脱出,其理论克容量274 mAh/g
石墨负极中,锂嵌入量最大时,形成锂碳层间化合物,化学式LiC6,即6个碳原子结合一个Li。6个C摩尔质量为72.066 g/mol,石墨的最大理论容量为:

对于硅负极,由5Si+22Li++22e- ? Li22Si5 可知, 5个硅的摩尔质量为140.430 g/mol,5个硅原子结合22个Li,则硅负极的理论容量为:

这些计算值只是理论的克容量,为保证材料结构可逆,实际锂离子脱嵌系数小于1,实际的材料的克容量为:
材料实际克容量=锂离子脱嵌系数 × 理论容量 (3)
(2)电池设计容量与极片面密度
电池设计容量可以通过式(4)计算:
电池设计容量=涂层面密度×活物质比例×活物质克容量×极片涂层面积 (4)
其中,涂层的面密度是一个关键的设计参数,压实密度不变时,涂层面密度增加意味着极片厚度增加,电子传输距离增大,电子电阻增加,但是增加程度有限。厚极片中,锂离子在电解液中的迁移阻抗增加是影响倍率特性的主要原因,考虑到孔隙率和孔隙的曲折连同,离子在孔隙内的迁移距离比极片厚度多出很多倍。
(3)负极-正极容量比N/P
负极容量与正极容量的比值定义为:

N/P要大于1.0,一般1.04~1.20,这主要是处于安全设计,防止负极侧锂离子无接受源而析出,设计时要考虑工序能力,如涂布偏差。但是,N/P过大时,电池不可逆容量损失,导致电池容量偏低,电池能量密度也会降低。
而对于钛酸锂负极,采用正极过量设计,电池容量由钛酸锂负极的容量确定。正极过量设计有利于提升电池的高温性能:高温气体主要来源于负极,在正极过量设计时,负极电位较低,更易于在钛酸锂表面形成SEI膜。
(4)涂层的压实密度及孔隙率
在生产过程中,电池极片的涂层压实密度通过式(6)计算,

而考虑到极片辊压时,金属箔材存在延展,辊压后涂层的面密度通过下式(7)计算。
前面提到,涂层由活物质相、碳胶相和孔隙组成,孔隙率可由式(8)计算。
其中,涂层的平均密度为:
锂电池电极是一种粉体颗粒组成的涂层,由于粉体颗粒表面粗糙,形状不规则,在堆积时,颗粒与颗粒间必有孔隙,而且有些颗粒本身又有裂缝和孔隙,所以粉体的体积包括粉体自身的体积、粉体颗粒间的孔隙隙和颗粒内部的孔隙,因此,相应的有多种电极涂层密度及孔隙率的表示法。
粉体颗粒的密度是指单位体积粉体的质量。根据粉体所指的体积不同,分为真密度、颗粒密度、堆积密度三种。各种密度定义如下:
a. 真密度指粉体质量除以不包括颗粒内外空隙的体积(真实体积),求得的密度。即排除所有的空隙占有的体积后,求得的物质本身的密度。
b. 颗粒密度指粉体质量除以包括开口细孔与封闭细孔在内的颗粒体积,求得的密度。即排除颗粒之间的空隙,但不排除颗粒内部本身的细小孔隙,求得的颗粒本身的密度。
c. 堆积密度,即涂层密度,指粉体质量除以该粉体所组成涂层的体积,求得的密度。其所用的体积包括颗粒本身的孔隙以及颗粒之间空隙在内的总体积。
对于同一种粉体,真密度>颗粒密度>堆积密度。
粉体的孔隙率是粉体颗粒涂层中孔隙所占的比率,即粉体颗粒间空隙和颗粒本身孔隙所占体积与涂层总体积之比,常用百分率表示。粉体的孔隙率是与粒子形态、表面状态、粒子大小及粒度分布等因素有关的一种综合性质,其孔隙率的大小直接影响着电解液的浸润和锂离子传输。一般来说,孔隙率越大,电解液浸润容易,锂离子传输较快。所以在锂电池设计中,有时要测定孔隙率,常用压汞法、气体吸附法等进行测定。也可通过密度计算求得。当采用不同的密度进行计算时,孔隙率含义也不同。
当活物质、导电剂、粘结剂的密度都采用真密度计算孔隙率时,所计算的孔隙率包括颗粒之间的空隙、颗粒内部空隙。当活物质、导电剂、粘结剂的密度都采用颗粒密度计算孔隙率时,所计算的孔隙率包括颗粒之间的空隙、而不包括颗粒内部空隙。因此,锂电池极片的孔隙尺寸也是多尺度的,一般地颗粒之间的空隙在微米级尺寸,而颗粒内部空隙在纳米到亚微米级。
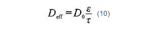
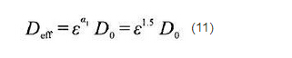
在多孔电极中,有效扩散率、传导率等输运物性的关系可用下式表示:

其中,D0表示材料本身固有扩散(传导)率,ε为相应相的体积分数,τ为相应物相的迂曲率。在宏观均质模型中,一般采用Bruggeman关系式,取系数ɑ=1.5来估计多孔电极的有效物性。
电解液填充在多孔电极的孔隙中,锂离子在孔隙内通过电解液传导,锂离子的传导特性与孔隙率密切相关。孔隙率越大,相当于电解液相体积分数越高,锂离子有效电导率越大。而正极极片中,电子通过碳胶相传输,碳胶相的体积分数,碳胶相的迂曲度又直接决定电子有效电导率。孔隙率和碳胶相的体积分数是相互矛盾的,孔隙率大必然导致碳胶相体积分数降低,因此,锂离子和电子的有效传导特性也是相互矛盾的,如图2所示。随着孔隙率降低,锂离子有效电导率降低,而电子有效电导率升高。电极设计中,如何平衡两者也很关键。


- 最新评论
- 我的评论