
1、经济性分析
1.1 年发电量的计算
分布式光伏发电的年发电量的计算公式如下:
![]()
其中:
Q:年发电量,kW·h;
Hc:太阳能年辐射量,kW·IVmz;
H:标准太阳福射强度,kW/m;
P:装机容量,kW;
C:光伏组的倾斜系数,取值范围介于1.05~1.15;
η:影响系数,取值范围介于72%一75%。
为了加快光伏发电技术的发展与应用,我国相关职能部门对该发电方法实行了发电补贴政策,也就是对发电系统自用剩余上网电量进行收购,收购价格参照本地燃煤机组的标杆上网电价。
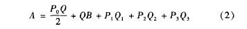
1.2 用户的年售电收入计算
影响用户年售电收入A的主要因素有:本地标杆上网电价,(kW·h);国家给予的补贴额度Po,元/(kW·h);国家制定的三档阶梯电价,P1、P2、P3;还有在阶梯电价范围内的自用电量Q1、Q2、Q3。其计算公式如下:
![]()
在计算本地年售电收入的时将本地的相关数据代入公式即可。
1.3 用户每年的净收益计算
在计算出用户每年的售电收入后,去掉因发电系统维护所造成的相关费用后,即得出用户每年的售电净收入。
1.4 投资回收期的计算
理论上的投资回收期可以这样计算:回收期=投资金额÷每年的净收益金额。当然这里面的数值会根据当年的实际情况有相应的变化,得到的数值也会有所不同。
1.5 经济性分析结论
光伏发电装置分为商用和民用两类,但是其收益的计算方法是一样的。通过上面的分析我们了解到,对用户经济性的影响主要是各地标杆上网电价、年利用时间、各地的补贴政策、各地不同的阶梯电价等。对于发电系统投资成本的收回期,一般在5一l1年,投资价值非常高,尤其是在太阳能资源丰富的区域,采用该发电装置将会为用户带来巨大收益,而且也会大大缩短投资成本收回的期限。
2、发展中存在的问题与相关政策分析
2.1 优化审批环节
在我国相关的光伏发电管理文件中规定,分布式光伏发电采用备案制,是应由省级政府部门来制定的,但是实际情况是多数地区的备案方法并没有落实,在政策上存在延误。另外。国家能源局对各省的发电项目建设规模提出了相关要求,要结合本地区的实际情况,但是很多省市对于如何确定本地区的建设规模指标尚未明确。这两个方面都是在审批环节中存在的弊端,因此必须进行优化,加快项目审批速度,加快政策的制定与落实,从而保证光伏发电事业得到较快发展。
2.2 优化售电结算问题
用户在使用了光伏发电装置以后,自用剩余上网电量是由电力公司收购的,不过要求用户必须要开具增值税发票,可是民用的发电项目又无法在工商部门登记,何谈增值税发票?所以只能开具普通发票或是收据,长此以往将会严重阻碍分布式光伏发电事业的良性发展。虽然商用发电项目企业可以开具增值税发票,但是所承担的成本也就大大提高,我国的相关政策是将增值税减半收取,这也算是对该行业的大力扶持,但是有效期只有短短的两年时间。因此说国家的鼓励扶持政策只是浮于表面,对此国家能源总局应该和相关部门做好协调工作,明确扶持政策,优化电量收购环节,从而保证光伏发电事业得到较快发展。
2.3 落实政府补贴
通过上述分析我们知道,政府补贴是影响光伏发电经济性的重要因素之一,从实际情况来看也是如此,在补贴政策得到落实的地区效果较好,相反在补贴政策滞后的一些地区,用户的投资成本回收相对较慢,加大了投资风险。所以,政府相关部门要加快补贴政策的制定与落实。在实际操作过程中,国家会结合当地光伏发电建设情况、成本变化等因素对补贴政策进行适时、适当的调整,但是这也同时对用户投资产生了影响。对于这项政府补贴主要来自于国家的可再生能源发展基金,但是基金规模却无法满足当前行业发展的需求,之间存在较大的矛盾,因此拓展融资渠道也是当前政府相关职能部门亟待解决的难题。
现阶段,我国能源总局对光伏发电行业开始实施年度规模化的管理,根据不同地区的实际情况采取配额的方式,补贴额度全国实施统一标准,为0.42元/(kW·h)。因此,要加快分布式光伏发电产生的发展,使得条件优越、对电能需求较大的地区走在行业的前列。
2.4 屋顶的合理利用
对于民用发电装置来说,在农村可以较大范围的使用,因农村基本都是独立房屋,屋顶的面积完全可以满足光伏发电装置的安装,而城市住房相对集中,基本都是高层或是多层建筑,屋顶面积非常紧张,一般只有顶楼的居民可能充分利用起屋顶的面积,并且还有可能引起其他住户的不满。基于此,政府职能部门协调并引导制定并完善关于高层建筑屋顶产权与使用权的相关规定,而且对于在建或是待建的房屋建筑,应该把安装发电装置的需求综合考虑进去。
对于商用发电装置,可以安装在工厂屋顶,屋顶可能是彩钢结构,也可能是混凝土结构。彩钢结构的使用年限大多为15年,但是发电装置的使用年限基本都在2O~25年,这对于光伏发电的发展也存在着一定的影响。因此在进行安装位置选择的时候也要综合考虑这些因素,尽量安装在混凝土屋顶上为宜。
2.5 商业化的发展
目前,分布式光伏发电大都是由企业或是居民根据自己的需求与条件自己建设,然后余量上网,从一定程度上阻碍了光伏发电事业的迅速推广,应该建立一种商业化的发展模式,比如由光伏发电企业牵头,完善合同能源管理、政府进行统一建设、屋顶租赁等相关环节的管理措施。实现商业化的动作模式。并且还要做好电量收购、结算等相关工作,做好各个环节的协调工作,减少纠纷的产生。
2.6 完善相关技术性规范
传统的发电方式基本上都是采用集中统一的规划建设,而分布式的光伏发电的优势在于“分散独立,灵活自治”。虽然光伏发电具有诸多的优势,但是要想完全无条件的接入到现有的电力网络,将会引起大面积电网升级改造,其成本非常巨大,这样反而不利于光伏发电技术的推广,因此需要两方协调发展,共同进步。技术性规范是影响光伏发电与传统电力网络协调发展的重要因素,在发展初期,技术性规范的主要特征体现在减少光伏发电对传统电力网络产生的影响,对技术规范的研究也重点放在了如何改善光伏发电装置的性能方面,以便满足电力网络稳定、可靠运行的要求,对所接人电力网络的光伏发电提出严格的要求,比如在电能质量、电网的适应性、故障维修等方面,从而降低光伏系统所产生的各种不安定因素。
随着光伏发电系统的快速发展,这种技术性的规范所存在的诸多不利也慢慢显露出来。利用先进的接人技术对传统的电力网络不断改进,技术上不断更新,从根本上减少因光伏发电对电力网络造成的各种不安全因素,满足光伏发电系统接入电力网络的各种要求,从而推动光伏发电技术的迅速推广与应用。在这一发展过程中,主动配电网络成为了电力网络的智能节点,并且利用电力网络系统实现了集中调度的目的,在提高电力网络的稳定性、可靠性等方面效果显著。
在主动电力网络发展到高级阶段后,技术性规范所体现的主要是电力网络的内部负荷、光伏发电装置、储能装置以及电能管理之间的协调控制。此时技术规范的重要任务就是引导传统的电力网络向着智能化的配电网络发展。
3、结论
分布式光伏发电系统能够有效地将太阳能资源转化为电力能源,目前在我们国家得到了较大范围的推广与应用,而且经济效益显著。通过本文的分析,我们了解了影响投资经济性的几个关键因素,投资成本一般在5—11年就可以收回,而其使用寿命能够达到2O~25年,具有较高的投资价值。在投资过程中,商用光伏发电系统效果更为显著,投资价值更高。有效利用太阳能资源也是全球性的重要课题,对于实现经济的可持续发展意义重大。但是通过分析我们也知道,在光伏发电推广过程中存在着一些不利因素,政府相关部门要加大扶持力度,制定完善的扶持政策,提高人们投资的积极性。还要加快商业化模式建设,在项目审批、收购结算等环节进行优化管理,充分发挥技术性规范的引导作用,加强相关技术的研究,解决实际中存在的一些问题。

