
【引言】
“废弃材料再利用”是一个伴随着自然资源急剧消耗和废弃材料急剧增加的新命题。锂离子电池(LIB)作为从移动电话到电动汽车(EV)的供能电源,其使用结束之后造成的大量浪费正在以惊人的速度增加。据预测,到2030年全球报废的锂离子电池将达到1100万吨以上,相比之下,仅有5%不到的废弃电池可以回收。如果废弃电池得不到良好解决,其不仅对人类的健康发展有害,并且会破坏自然生态环境。Co, Mn, Ni等重金属会严重破坏土壤和地下水,电解质(主要是LiPF6)和空气中水分子之间的反应会生成有害的氟化氢(HF)气体。同时,锂离子电池原材料的短缺,也让废弃材料再利用的趋势产生更危急的紧迫感。

Figure1. 从全球电动车销售情况预测出的锂电池及其相关材料需求.
为了促进回收过程,许多国家已经颁布了法律,规定电池制造商为消费者免费收集并处理废电池,因此目前Umicore、Toxco、Batrec AG、Inmetco、SNAM、Sumitomo-Sony等公司正在全世界实施废弃LIBs的吨位回收。一般来说,废弃锂离子电池的回收是物理和化学手段的结合。
物理手段主要包括机械分离、热处理、机械力化学和溶解过程;机械分离是一种预处理工艺,根据废旧电池材料的不同性质,例如密度、电导率、磁性等分离废旧电池材料,但该工艺的缺点是不能完全分离;热处理是一种常用的手段,可以在一定的温度条件下从集流体上除去碳和有机组分,然而该手段需要专门的设备来净化燃烧产生的气体;机械力化学法通过磨削技术增加正极材料的表面积,从而提高金属的浸出效率;一般来说,聚偏氟乙烯(PVDF)粘结剂在电极活性物质中会阻碍金属的浸出效率,可使用有机溶剂如N-甲基吡咯烷酮(NMP)、N, N-二甲基乙酰胺和二甲基亚砜溶解PVDF。在化学手段中,由于低能耗、废水最少、高纯金属回收率高等优点,研究者们大多倾向于采用湿法冶金回收废旧LIB,主要包括酸/碱/生物过滤、化学沉淀、溶剂萃取和电化学过程等。
在不远的将来,废旧电池的回收再利用将是一项紧迫而艰巨的任务。因此印度科学教育与研究院(IISER)化学系Vanchiappan Aravindan教授发表了题为“Burgeoning Prospects of Spent Lithium-Ion Batteriesin Multifarious Applications”的综述文章,首次讨论了废旧LIBs/回收材料在各个领域的再利用,包括LIB、超级电容器、析氧反应(OER)、吸附、光催化研究等。该文章发表于国际顶级期刊《AdvancedEnergy Materials》上,论文DOI:10.1002/aenm.201802303.
【主要内容】
1.全球对锂电池的整体需求
LiCoO2 (LCO)具有理论比容量高(137mAh/g)、体积容量高(1363mAh/cm3)、循环性能好、自放电低等极具吸引力的优势,在LIB市场中仍占有主导地位。然而,近年来钴的昂贵价格以及电池性能发展的迫切性为探索其它新型锂离子电池材料开辟了道路,包括LiNi0.33Co0.33Mn0.33O2(NCM)、LiMn2O4(LMO)、LiNi0.8Co0.15Al0.05O2和LiFePO4(LFP)等。

Figure2. 全球锂源分布.
Table1. 特斯拉公司报导的锂电池原材料价格.

亚洲、非洲、北美洲、南美洲和澳大利亚提供世界上主要的锂源,在这五大洲中,南美洲拥有世界储量的66%;阿根廷、玻利维亚、智利等“锂三角”国家占据了世界锂储量的三分之二,拥有比美国和中国更高品质的矿源。近年来,锂的价格已经呈现上升趋势,例如在中国,由于供应短缺,电池级Li2CO3和LiOH的成本在2015-2016年间分别飙升了190%和196%。此外,占全球锂供应50%的盐水生产法已经不能满足市场需要,而且锂在铝冶炼、玻璃和陶瓷、空气处理、保健产品、工业润滑脂、医疗应用、一次电池和铸造粉末等其他应用中的使用正在导致未来更严重的锂贫瘠。除锂外,其他原料如钴和镍的供应短缺也开始出现;在2019年,大约40%的钴用于制造电池,而预期的需求量将达到55%。此外,印度尼西亚禁止镍出口导致其价格上涨了近50%,
2.电池失效

Figure3. 锂电池失效原因.
废旧LIB成指数性增长的原因有很多,不管是由于寿命的正常终结,还是由于其它因素,例如电池膨胀、内部短路发热、性能恶化、电解质泄漏等原因,都对回收者造成不可估量的负担。充放电过程中在负极表面形成的固体电解质界面(SEI)层是锂离子电池寿命延长的主要原因之一,主要包括Li2O、ROCO2Li、LiF、Li2CO3和ROLi等成分。而电解液分解过程中形成的气体会增加电池内的压力,触发热失控;在过充和过放时,负极上枝晶的聚集会导致电极之间的短路,并最终使LIB爆炸。此外,电解质和残余水分之间的反应形成可溶解锰的HF,导致正极降解;由于充放电过程中产生的机械应变对负极的可逆容量有严重影响,石墨的结构将变得无序。
3.锂电池废弃材料
从废旧的LIB中回收金属已经有了广泛的研究,但这些工艺大多具有显著的缺点,例如溶剂昂贵、气体排放量高、循环路线复杂、化学试剂消耗量大等,使得这些工艺难以在工业上大规模实施;而且并非所有高纯度回收的金属都满足作为制备新型LIB的电池级材料。因此,研究人员发明出一种有效的浸出-再合成技术,通过从渗滤液中合成材料,避免了金属离子的多级分步分离,使二次污染最小化。

Figure4. 电池再生过程示意图.
一般来说,酸浸后的再结晶金属产物的高纯度可以通过共沉淀、溶胶-凝胶或固相反应等短路线实现,在溶出溶胶-凝胶法中,将废电池中回收的正极材料(NCM或LCO)溶解在有机或无机酸性介质中,并加入一定摩尔比的金属离子的浸出液进行一步共沉淀以形成凝胶。

Figure5. LithoRec电池回收再利用流程图.
在固相反应中,首先以浸出液为原料,经共沉淀法制备出Co/Ni-Mn-Co前驱体,将工业回收的Li2CO3或LiNO3与回收前驱体混合煅烧再生正极材料。
3.1 NCM正极再生
通过两种不同有机酸渗滤液来比较NCM再生正极材料的性能,发现顺丁烯二酸(NCM-Ma)比乙酸(NCM-Ac)处理的容量更高,这是因为NCM与顺丁烯二酸之间的螯合能力更强。除了有机酸以外,无机酸也可以起到同样的效果,例如H2SO4是最常用的浸出剂,尽管使用硫酸会释放有害气体造成空气污染,浸出后循环使用困难,以及对环境产生有害影响,然而,从无机酸中浸出锂的成本很低。
应注意的是,铝等杂质在与正极材料分离的过程中可能存在,当其达到一定水平时还会影响材料性能。

Figure6. NCM–V2O5正极材料通过不同干燥方法后的a)循环性能和b)倍率性能。通过喷雾干燥获得废弃NCM和NCM–V2O5材料的c) 循环性能,d)倍率性能,e)循环伏安曲线以及f)交流阻抗图.
从废弃的锂电池和含钒渣的废液中可以获得性能较高的正极材料,例如通过固态反应获得的NCM–V2O5正极材料;固态合成是使用最广泛的策略,可以在较高温度下从固态源材料混合物中制备出多晶固体。
3.2 LCO正极再生
在最开始的时候,许多研究都集中在废弃LCO材料中Li和Co的分离上,而没有再生活性材料;后来,为了电池工业的可持续发展,一些研究者在不分离金属的情况下对废弃LCO正极材料进行再生。在该再生过程中,将机械和热处理后高浓度的正极活性材料进行硝酸浸取,然后通过溶胶-凝胶法从渗滤液中产生LCO,再生的正极材料因在30次循环后的放电容量为140mAh/g。

Figure7.再生LiCoO2正极材料在25℃时的电化学性能: a) 0.2 C, b)倍率性能.
通过系统的有机酸浸出、化学沉淀和固相反应三个步骤,可以从LCO粉末中提取约100%的Li和99.8%的Co,得到再生正极材料在0.2C电流密度下经50次循环后的放电容量为105 mAh/g。
3.3 LFP正极再生

Figure8. 再生LFP和废弃LFP材料在2.0–4.2 V电压区间内的电化学性能: a)再生LFP和b)废弃LFP材料在从0.1到20 C不同电流密度下的充放电曲线. c) 两种材料在不同充电速率下的倍率性能和循环性能. d) 两种材料在5 C 电流密度下的循环性能.
在不断探索新型正极材料的过程中,橄榄石结构的代表材料磷酸铁锂LFP逐渐被研究人员所重视,由于其具有优异热稳定性且成本较低,近年来LFP已经被广泛商业化。磷酸作为助浸剂和沉淀剂可以先合成FePO4·2H2O,然后通过碳热还原法回收Li2CO3,制备出再生的LFP-C正极材料。
3.4 石墨/碳负极再生

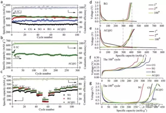
Figure9. a)商业石墨(CG), 废弃石墨(SG), 再生石墨(RG), 无定形碳涂覆石墨(AC@G)电极在0.1 C时的循环性能. b) AC@G电极在0.5 C时的循环性能. c) CG, SG, RG,AC@G电极在不同电流密度下的倍率性能. d) RG和e) AC@G在0.1 C时的恒流充放电曲线. CG, SG, RG, andAC@G电极在0.1 C时的f) 100th充电平台和g) 100th充放电平台.
通常高容量石墨负极材料的再生方法有两种,第一种方法,将废弃石墨加入乙二醇中形成混合物并进行微波剥离,然后通过喷雾干燥获得再生石墨,该法获得的再生负极可以在0.1 C下循环100圈获得409 mAh/g的放电容量;第二种方法是通过溶胶-凝胶工艺制备无定形碳包覆石墨,该方法可以从废弃石墨中制备出不同种类的碳材料。
除此以外,从废弃锂离子电池中获得的再生材料也可以用于其它应用,例如超级电容器电极材料,电化学析氧反应催化剂,磁性评估等各个领域。

Figure10. a)四种电极(Al rGO-RT, SS rGO-70, SS rGO-RT, Al rGO-70)的交流阻抗结果. b) 四种电极(Al rGO-RT, SSrGO-70,SS rGO-RT, Al rGO-70)在5 mV/s扫速下的循环伏安曲线. c) Al rGO-RT 电极在不同扫速下(5–125 mV/s)的循环伏安曲线. d)四种电极(Al rGO-RT,SSrGO-70, SS rGO-RT, Al rGO-70)在0.5 A/g下的恒流充放电曲线.

Figure11. a)纯CC, 再生尖晶石MnCo2O4, 再生LiCoO2, 再生 LixMnOx+1,c-Co3O4, c-MnO2, c-RuO2在5 mV/s扫速下的LSV曲线. b) 各类催化剂的电流密度-过电位曲线. c) 各类催化剂的过电位-质量活性曲线. d) 各类催化剂的塔菲尔斜率曲线.

Figure12. a) CoCexFe2-xO4, b) CoCexFe2-xO4,c) CoCexFe2-xO4 (x = 0.025, 0.05, and 0.1)烧结材料在室温下的磁滞曲线.
【结论】
从高价值金属回收和环境保护的角度来看废旧锂电池回收再利用,近年的研发无疑是突破性的,废弃LIB正极材料中回收的Li、Co、Mn、Ni等,不仅可以用于储能应用,而且也适用于其他环境友好型应用,比如超级电容器,析氧反应和磁性评估等领域。为了避免回收时产生二次污染,必须要采用一些具有无酸浸出、回收步骤短、物质损失少、经济性高、能耗低、商业可行性强的新策略,以此推动工业化的快速发展。此外,目前的研究致力于从商业正极材料LCO、LFP、NCM和LMO的混合物再生NCM,各国政府和企业都应当鼓励这种具有挑战性的工艺,以解决从废弃电池中回收金属的实际问题。

- 最新评论
- 我的评论