近日,国家工业和信息化部发布《道路机动车辆生产企业及产品公告》(第396批)的车辆新产品公示清单。2025年行至年中,这一批公示车型受到业界广泛关注。
经统计,第396批公告中,申报新能源汽车产品的有234家企业的629个型号。
其中,按动力类型划分,纯电动产品(BEV)共170家企业509个型号、插电式/增程式混合动力产品(PHEV)共56家企业108个型号、燃料电池产品(FCV)共8家企业12个型号。

按汽车大类划分,包括新能源乘用车96款、新能源客车50款、新能源专用车483款。
在96款新能源乘用车中,从配套电池类型看,配套磷酸铁锂、三元锂电池的车型分别为82款、14款。从动力类型看,纯电动乘用车42款、插混/增程乘用车54款。

从新能源乘用车电池配套企业来看,宁德时代配套32款、弗迪电池配套15款、国轩高科配套14款、中创新航配套7款、蜂巢能源/正力新能各配套6款、欣旺达配套4款、瑞浦兰钧/巨湾技研各配套3款、因湃电池配套2款、亿纬锂能/耀宁新能源/极电新能源/多氟多/安驰新能源各配套1款。其中,有1款车型由2家电池企业共同配套。
01
欣旺达进入理想汽车核心电池供应商之列
在第396批公告的新能源新车型中,理想i6颇受业界关注。该车型电池供应商包括宁德时代和欣旺达,均配套其各自的磷酸铁锂电池。
值得一提的是,此前,欣旺达动力电池已配套理想L8/L7/L6/i8等多款主力车型,此次供货最新车型,意味着欣旺达与理想汽车在电池领域的战略合作迈上新台阶,进入其核心电池供应商之列。
乘用车客户方面,除理想汽车外,欣旺达还供货东风、吉利、上汽、零跑、江铃等主流车企。
产品布局方面,欣旺达近年来不断升级其动力电池产品,今年5月,欣旺达发布动力闪充电池4.0全新超充电池产品矩阵,覆盖动力全场景应用需求,为新能源汽车行业深度电动化、智能化提供强劲动力。
02
正力新能技术加持,别克GL8电动化提速
第396批公告中,正力新能为上汽通用别克GL8 LS的PHEV车型供应磷酸铁锂电池。
数据显示,今年5月,国内MPV车型销量达9.4万辆,同比增长20.6%,环比增长8.2%。
其中,上汽通用别克GL8 PHEV车型销量达7391辆,环比增长92%,位列新能源MPV车型销量第二名,首次进入TOP3。
这不仅显示出插混技术在高端MPV市场的强劲竞争力,也反映出消费者对MPV插混车型的旺盛需求。同时,别克GL8电动化转型,或将带动更多MPV类油车车型参与电动化浪潮。
值得注意的是,别克GL8 PHEV车型表现亮眼,正力新能持续提供的动力电池也功不可没。
资料显示,正力新能已获得上汽通用全场景、多路径的多个重点平台车型动力电池项目的独家定点。特别在PHEV领域,正力新能凭借其自身前瞻性的市场经验和技术实力,在一年的极短周期内完成双方重点合作项目的开发,助力上汽通用分别在2024年、2025年,完成GL8陆尊PHEV、GL8陆尚PHEV等核心MPV新能源转型产品的快速上市,从而助力客户实现新能源战略落地。
03
多家电芯企业供货汽车央企主力车型
第396批公告中,汽车央企一汽、东风、长安汽车的多款新能源乘用车在列,其电池供应商包括宁德时代、蜂巢能源、瑞浦兰钧、欣旺达、中创新航等头部电池企业。
其中,宁德时代为一汽红旗天工06的BEV车型/东风岚图梦想家PHEV车型,提供其三元锂电池;为长安启源A07的BEV车型/长安汽车阿维塔12的PHEV车型,提供其磷酸铁锂电池。
蜂巢能源为东风岚图梦想家PHEV车型,提供其三元锂电池。这也表明,除供货长城汽车外,蜂巢能源在电池外供上也在持续发力。
瑞浦兰钧为东风启辰V-ONLINE的PHEV车型,提供其磷酸铁锂电池。
欣旺达为东风奕派eπ007的BEV车型,提供其磷酸铁锂电池。
中创新航为东风风神L8的PHEV车型,提供其磷酸铁锂电池;为长安启源A07的BEV车型,提供其磷酸铁锂电池。
随着汽车央企新能源车型动力电池供应格局日趋多元化,具备技术优势的头部电池企业有望斩获更多央企订单。
04
“创新”车型激活细分市场
利好动力电池需求增长
电池中国观察到,此次公告中,除了上汽通用申报别克GL8 LS PHEV(申报车型为插电式混合动力多用途乘用车)车型外,还有一款别克GL8 PHEV改装车型也在列。

图片来源:国家工业和信息化部网站
据国家工业和信息化部网站披露,该车型为华东牌插电式混合动力商务车,申报企业为常熟华东汽车有限公司。该车型配备商务隔断(含小桌板)、影音系统等专用装置,主要用于商务接待;同样由正力新能源提供其磷酸铁锂电池。
此外,公告中还有多款新能源乘用车改装车型。如在广汽传祺E8基础上,打造的宇通牌插电式混合动力勘察车,其配套正力新能三元锂电池;在上汽大通G50max基础上,打造的宇通牌插电式混合动力血浆运输车,其配套国轩高科磷酸铁锂电池;在长城坦克500基础上,打造的九瑞牌插电式混合动力通信车,其配套蜂巢能源、宁德时代三元锂电池。
商务接待、特种作业等细分领域,对电池性能提出差异化要求,或有望带动电池企业开发定制化电池解决方案。
另外,需要提及的是,第396批公告中,在BEV乘用车中,除了宁德时代有配套三元锂电池,其它电池企业均提供的是磷酸铁锂电池。这也带动磷酸铁锂电池车型在该批次新能源乘用车总申报车型中的占比超85%。随着磷酸铁锂电池车型的续航里程突破700公里,未来,磷酸铁锂电池或将发挥更大潜能。
当前,乘用车市场竞争激烈,而新车型的投放或改写市场格局,消费者的青睐将决定下一阶段谁是赢家。
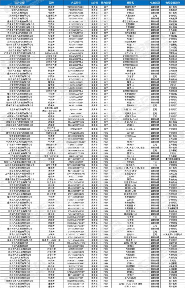
第396批公告新能源乘用车车型如下:(点击查看大图)


- 最新评论
- 我的评论