在锂离子电池电极制造工艺中,挤压涂布是目前主流的电极涂敷工艺。与逗号刮刀或辊涂相比,这种预计量涂布方法的优点是计量精确、工艺参数易于控制及其封闭式系统可以减少环境对浆料的影响。
在挤压涂布系统中,涂布模头是最重要的一个组成部分。如图1所示,涂布模头一般包括上模和下模,上模和/或下模中加工出一定几何形状的腔室,上模、下模和垫片组装在一起形成涂布狭缝。浆料从进料口泵入模头内部腔室中,然后从涂布狭缝中流出,在模头唇口形成速度、流量和压力分布均匀的流体,再转移到箔材上。

图1 挤压涂布及模头示意图
要制造均匀稳定的电极涂层,涂布过程中必须满足以下条件:
(1)浆料性质稳定,不发生沉降,粘度、固含量等不发生变化;
(2)浆料上料供应稳定,在模头内部形成均匀稳定的流动状态;
(3)涂布工艺在涂布窗口范围内,在模头与涂辊之间形成稳定的流场;
(4)走箔稳定,不发生走带滑动、严重抖动和褶皱:需要有好的张力、纠偏控制。
其中,挤压模头的设计对涂布精度有极其重要的影响,设计时还需要考虑涂布浆料流变特性,按所提供的流变数据设计加工挤压模头,挤压模头内部型腔的几何结构直接影响型腔的流场形态,优化结构参数能有效提高出口速度分布的均匀性。目前,国内仅有曼恩斯特等公司具有自主研发设计涂布模头的能力,其设计优化包括:
(1)涂布模头内部流道设计,比如梯度式、衣架式、单腔式和双腔式等料槽结构。目标就是维持涂液在模具内的流动速度,不产生静止区域或沉降等问题,从而确保模头狭缝出口速度均匀保证涂层的均匀性。
(2)进料位置优化设计,比如模头下部进料,模头侧面进料等,改变流体流动状态确保模头狭缝出口速度均匀。
(3)垫片结构的优化设计。
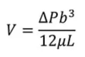
虽然优化设计模头内部的型腔可以将浆料流体均匀地分布在模头狭缝,但是狭缝平台的表面质量和上、下膜之间狭缝间隙最终控制流体流出狭缝模头时的流动状态。均匀流动的关键是出口处的压力、速度和体积流量的分布和稳定。体积流量V的控制方程如下所示:

其中,ΔP为通过狭缝模头的压降;b 为模头上下模之间狭缝间隙;μ为浆料的粘度;L为狭缝流动方向的长度,如图2所示。

图2 模头狭缝流量方程参数
由以上公式可知,模头上下模之间的狭缝间隙b是模头出口浆料体积流量的三次方变量,当这个变量稍微发生变化时,可能就会对涂布结果产生很大的影响。因此,涂布模头的狭缝间隙又是整个模头的关键,涂布时浆料不断流经唇口,从狭缝喷出,唇口的性能指标会直接影响涂布效果。根据锂离子电池涂布的特点,挤压模头狭缝唇口应该满足以下要求:
(1)唇口尺寸精度要求高。锂离子电池涂布一般浆料湿厚100-300 μm,精度要求<1%,因此,对刃口的尺寸要求也很高,比如唇口要求锋利,达到微米级精度;刃口直线度高(小于2μm/m)。
(2)狭缝平台表面光洁,粗糙度小(Rz 0.02μm以下)。浆料是活物质颗粒悬浮液,流经狭缝然后从唇口喷出,如果固体在某处停滞堆积,会造成涂布厚度不均匀,形成竖直条道等缺陷。这就要求喷口面表面光洁,粗糙度小,不造成固体颗粒堵塞。
(3)唇口材料硬度高,耐磨损,使用寿命长。正负极浆料是由固体颗粒组成的悬浮液,在涂布过程中浆料在压力作用下不断从狭缝唇口喷出,固体颗粒会对狭缝表面形成磨粒磨损,这就要求唇口材料硬度高,耐磨,能够长期使用。
(4)耐腐蚀。锂离子电池浆料里面往往包含有机溶剂,聚合物粘结剂等组分,正极浆料往往还成弱碱性,因此,要求唇口耐腐蚀。
(5)唇口锋锐,要求具备一定韧性,不会发生断裂,要求材料抗压强度和弯曲强度高,不会发生弯曲变形。
考虑到具体的使用环境和成本因素,我们应该根据需要合理选择挤压模头的材质,通常模头材质选择方案包括模头主体选择不锈钢,关键的唇口部分选择硬质合金、钛合金或者耐腐蚀合金等;或者模头主体和关键的唇口部分都选择硬质合金、钛合金或者耐腐蚀合金等;或者模头采用电镀耐磨镀层等。目前不管采用哪种方式的金属模头都有模头唇口磨损现象,也严重影响了模头的使用寿命。因此,涂布设备去金属化势必成为发展趋势。
2024年4月26日,曼恩斯特以“陶瓷赋能,智能换新”为主题,发布了全自动双层陶瓷新品模头。这是国内首套自主研发的全陶瓷涂布模头,这是由全陶瓷上、中、下模、电动执行机构、垫片、点胶阀、控制系统等组成的全陶瓷闭环调节涂布模头,该模头具有高耐磨、高硬度、耐腐蚀、变形小、抗冲击等优点,通过全陶瓷材料实现涂布段去金属化,使得浆料在涂布过程中,涂布狭缝的狭缝成型面的耐磨性能以及耐腐蚀性能均有较大的提高,而且即使有较少的陶瓷材料磨损进入浆料,也不会影响电池极片的性能,从而保证了成品电池极片的品质。


图3 曼恩斯特全陶瓷闭环调节双层涂布模头
曼恩斯特在发布会上表明,他们在开发全陶瓷全自动新品模头中具有5大核心优势:
(1)强大的陶瓷材料研发团队,具有博士、硕士、本科生等100名以上专业人员,申请了多项专利。
(2)自研陶瓷材料配方,全陶瓷成分和胶合理配比,解决了大尺寸生坯加工和烧结的开裂难题,而且单质金属含量为0,没有任何对电池有害元素。
(3)自研陶瓷加工工艺,采用共沉淀法,合成纳米陶瓷粉体,通过砂磨机研磨,控制陶瓷粉体的粒径;采用制浆加胶工艺,喷雾造粒工艺,高压成型工艺、毛坯加工工艺、烧结工艺、精加工等工艺。
(4)拥有行业领先的4大陶瓷科研实验室,材料实验室、烧结实验室、材料加工实验室、盐雾实验室。通过各项实验测试验证,保证陶瓷材料硬度、密度、韧性、耐磨、耐腐等性能,优化了成型、烧结和加工工艺,制作出具有高致密高性能的陶瓷模头。
(5)完整的陶瓷生产线,具有混料-压制-线割-烧结-机加工-磨削全套产线。能够实现全陶瓷模头批量化生产。
目前,随着锂离子电池行业的快速发展,涂布模头也朝着双层涂布模头、智能化闭环调节涂布模头等方向发展。全陶瓷涂布模头的提出代表了涂布模头材质选择的一个创新方向,得益于陶瓷材料的独特性能,全陶瓷涂布模头一定会带来一些优势和新的发展趋势:
(1)高耐磨性:陶瓷材料以其高硬度和耐磨性著称,全陶瓷涂布模头的使用可以显著提高模头的使用寿命,减少更换频率,从而降低维护成本。
(2)优异的耐腐蚀性:陶瓷具有良好的化学稳定性,对于各种化学腐蚀介质具有很高的抵抗能力,适合用于涂布具有腐蚀性的电池材料。
(3)陶瓷表面光滑,不易粘附涂布材料,有助于减少涂布过程中的材料损耗,并且清洁维护更为方便。
(4)高精度涂布:陶瓷材料的高精度加工技术相当成熟,可以制造出精度极高的涂布模头,有助于提升涂布质量和一致性。
(5)市场应用拓展:除了在锂离子电池行业中应用,全陶瓷涂布模头的优良特性也使其有潜力拓展到其他涂布领域,如燃料电池、半导体、光伏等。
曼恩斯特介绍,陶瓷模头和金属模头使用对比,在使用正极三元材料同样涂布工艺下,金属模头使用寿命在300万米左右,陶瓷达到900万米以上,对比金属模头,陶瓷模头高耐磨方面具有显著优势。

图4 曼恩斯特全陶瓷全自动模头高精度
通过金属630材料和陶瓷材料干磨磨损数据对比,陶瓷材料磨损为0.001,金属的磨损达到0.022,可以看出陶瓷磨损远远小于金属材料磨损,陶瓷磨损性能优于金属20倍以上。
硬度方面,通过硬度检测,陶瓷硬度高于金属2倍以上。
耐腐蚀方面,金属和陶瓷在同样工况下电化学腐蚀测试,金属有明显点腐蚀,陶瓷没有出现腐蚀现象。
形变方面,陶瓷材料弹性模量高于金属材料,相同条件下陶瓷模头受力变形小于金属模头变形。
抗冲击方面,在相同工况下实验,金属受碰撞变形远大于陶瓷,陶瓷抗冲击性能力高于金属。
以上介绍了陶瓷模头全陶瓷材料、高耐磨、高硬度、耐腐蚀、抗变形、抗冲击等亮点。针对行业的需求,他们优先推出了4个系列全陶瓷涂布模头产品,全陶瓷手动千分尺调节系列模头、全陶瓷电动执行机构闭环调节系列模头,全陶瓷双层上下层手动千分尺调节系列模头、全陶瓷双层上下层电动执行机构调节系列模头,可以匹配涂布机安装使用,模头长度2米以下均可生产。

图5 曼恩斯特全陶瓷涂布模头系列产品
除此之外,曼恩斯特陶瓷材料在新能源行业还有很多应用,包括陶瓷双螺杆、陶瓷分散原件、陶瓷分布原件、陶瓷管件、螺杆泵陶瓷衬套、陶瓷搅拌浆等等。
期望全陶瓷涂布模头作为一种新型材料选择,能够为涂布技术带来显著进步,并推动锂离子电池等相关行业的发展。

- 最新评论
- 我的评论