
提高锂离子电池(LiBs)的能量密度和快充能力是解决续航里程问题和促进电动汽车(EVs)进入主流市场的两个关键手段,然而,无论是增加能量密度还是增加快充速率,都会引发危险的析锂/镀锂现象,极大损耗电池寿命。在商业石墨负极极化较大时,其反应电位将低于0V vs Li/Li+,此时便发生析锂现象,导致严重的容量损失,甚至造成安全隐患。
一般人们认为析锂现象只会在低温和快充时较为严重,然而最近的研究表明,即便在温和的充电速率和温度下,析锂对高比能电池的安全问题仍是一个严重威胁。要增加电池的能量密度,就得增加活性材料的负载量,负载量增加越多极化越明显,这样就更容易出现析锂现象。因此商业锂电池中存在着快充、能量密度及循环寿命这三者之间的三元矛盾。
如果考虑到温度的影响,那这个三元矛盾关系将会更加复杂,在早期的文献中,人们通常认为由于固体-电解质-界面层(SEI)较快的生长,电池在高温下更容易衰退。而当Waldmann对商业1.5Ah的18650型电池进行测试的时候,发现在25 °C时电池具有更长的循环寿命,高于或低于该温度都会导致电池更快的衰退失活。
其它研究也都陆陆续续发现这一不同寻常的现象,但其背后的原因不得而知,为什么电池总是在室温下运行的更好呢?
针对上述问题,美国宾夕法尼亚州立大学机械工程、材料科学与工程系Chao-Yang Wang教授等提出一种结合了析锂以及SEI生长的物理衰退模型,系统地研究了快充、能量密度和循环寿命三种因素间的矛盾关系。利用该模型,可以准确的探测出何种温度下电池具有最长的循环寿命,并揭示了增加充电速率和能量密度加速析锂引发电池性能衰退的深层次原因。

【深度解析】
一、电池性能衰退的物理模型搭建
本文采用的模型不仅考虑了SEI生长和析锂作用,也考虑了连续SEI生长导致负极孔隙率的降低等因素。

上述三个公式分别为石墨负极插层反应,SEI形成反应,析锂反应。负极中的总体积电流密度是三个反应的总和:

石墨负极处的电流密度可由Butler-Volmer公式得出:

该公式中的a表示比表面积,i0为交换电流密度,αa和αc分别为负极和正极中的电荷转移系数,ηgr为锂插层时的过电位。
SEI形成的电流密度可通过Tafel公式计算得出:

该公式中,k0,SEI为动力学常数,cEC表示电解液EC在石墨表面上的浓度,该表面浓度可通过扩散速率和消耗速率之间的平衡来计算:

该公式中DEC为EC的扩散系数,δfilm为电极的厚度。
析锂反应的电流密度也由Tafel公式得出:

值得注意的是,析锂现象是部分可逆的,析出的锂会溶解再回到正极,形成一个独特的电压平台,然而,可逆析锂和不可逆析锂占有的相对分数目前仍不清楚。本文中的模型只考虑不可逆的那一部分。
SEI和锂金属的数量可由Faraday's law得到:

该公式中,CSEI和CLI分别代表单位体积下的SEI和锂金属的摩尔浓度,SEI和锂金属共同覆盖在石墨负极颗粒上形成表面膜。假设石墨负极为球形且表面均匀涂覆,则SEI和锂金属的数量公式可变为:

该公式中M为分子量,ρ为密度。
当参比温度设置为25 °C时,一些关键参数的值如下表所示:

二、循环寿命与温度关系

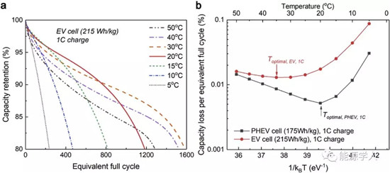
图1. 电池随温度变化的衰退行为及时效关系。(a) 不同温度下PHEV电池在1C电荷循环时的容量保留率与等效全周期(EFC)关系,(b) 相对衰退率与交互温度
该图表示电池在~20 ℃具有最长的循环寿命,衰退速率的对数与1/T呈线性关系,表明衰退速率遵循Arrhenius定律。在20 ℃时斜率的变化表示活化能的变化,这个结果与之前文献报导结果一致,证明该模型很好地描述了温度效应对电池衰退的关系。在T>20 ℃时,容量保留率曲线与EFC(equivalent full cycle)呈平方根关系,这一特征被称为SEI主导衰退;当T<20 ℃时,容量保留率曲线在一定循环次数后表现出快速的容量下降,这种容量的急剧衰减归因于析锂的发生。

图2. 锂析出与SEI生长的竞争关系。(a) SEI生长和锂析出引起的容量损失,(b) SEI生长引起的容量损失,(c)锂析出引起的容量损失
从图(a)中可以看出析锂现象仅发生在T<20 ℃时,并且随着温度的降低,析锂引起的容量损失逐渐增加。
从图(b)中可以看出,不论在哪种情况下,SEI均在开始时迅速增长,并逐渐减慢,且与膜厚成反比;当EC(碳酸乙烯酯)扩散系数随温度升高后,SEI生长引起的容量损失增加,导致温度在T>20 ℃时电池衰退率升高。
从图(c)中可以看出,一旦发生锂析出,沉积在石墨负极表面上的固体锂金属会进一步堵塞负极的孔隙,导致严重的负极极化,极化会反过来再提高锂析出速率,这种效应会导致锂析出量的指数上升,因此电池容量迅速衰减。

图3. 随着温度的降低,锂析出的早期现象。(a) 在不同温度下新PHEV电池于1C充电过程中锂沉积电势(LDP)的演变,(b–d) 不同温度下衰退PHEV电池的循环研究: (b) 10 ℃, (c) 20 ℃, (d) 30 ℃
一般来讲,锂沉积电势(LDP)受三个过程影响:电解质中Li+的传导和扩散过程、石墨表面反应过程和Li+在石墨颗粒中的扩散过程,控制这些过程的关键参数都取决于温度变化。因此,降低温度会将LDP推向0V临界点,低于该临界点将触发锂析出。
从图中可以看出,在10℃循环400次后,LDP下降到0V,而在20 ℃和30 ℃循环结束时,LDP都远高于0V,这说明提高电池温度,可以减轻甚至消除锂析出。
三、充电速率与温度关系

图4. 充电速率和温度间的关系
可以看出与1C时相比,随着充电速率的增加,锂析出开始由线性衰退向非线性衰退的过渡。图4d比较了电池在不同充电速率下的LDP变化,可以看出随着充电速率的增加导致LDP降低,从而发生锂析出现象。

图5. 锂析出诱导电池衰退与充电速率的关系
在20 ℃时,镀锂在1C循环(3500EFC)末尾开始发生,但在2C循环的700EFC和3C循环的300EFC之后就开始发生;当温度升高到35 ℃时,由于LDP随温度的升高而升高,从而推迟了析锂的开始时间。
四、能量密度与温度关系

图6. 能量密度和温度的关系

图7. 能量密度的增加与更严重的析锂现象之间的关系
从图中可以看出,面积负载量的增加(负极厚度)对SEI生长速率影响很小,但是对析锂的影响很大,这是因为负极越厚,电荷传输电阻越大,导致EV电池中负极/隔膜界面处的LDP比PHEV电池低得多。
五、温度与快速健康充电

图8. 快充,能量密度,循环寿命三元矛盾与温度效应的关系

- 最新评论
- 我的评论