
发展大规模储能技术不仅需要储能体系具有高能量密度和低成本,而且还要求具备高安全性,易于维护和环境友好等特点。尽管锂离子电池(LIB)具有非常高的比能量和循环寿命,但由于使用易燃的有机电解质导致其在过充滥用条件下易燃烧甚至爆炸,因此其大规模应用前景仍有待商榷。全钒氧化还原液流电池(VRB)受益于其水系电解液的高安全性,钒基电对的高电化学可逆性,以及低维护,设计灵活性等优势,已成功进入商用储能应用。然而,电活性钒离子在VRB中的溶解度有限,导致其能量密度仅有~15Wh/kg。综合考虑到LIB和VRB电池各自的优缺点,我们设想能否“取长补短”,构建一种兼具高比能和安全特性的新型全钒水系锂离子电池(VALB),该电池选用具有Li+嵌入活性的钒基材料作为正负极,以及Li+水溶液作为电解质溶液。
实现该电池设想的一个关键挑战在于钒基材料在水溶液体系中的长期循环的结构稳定性。尽管许多钒基化合物(如VO2,LiV3O8和LiVOPO4等)在非水电解质中嵌锂性能优异,但它们在水系介质中往往存在严重的溶解问题,导致循环过程中容量迅速衰减。另外,为了实现高的能量密度,需要选用电势差尽可能大的正极和负极材料,以获得更高的电压输出。但是在高电压下,水溶液会发生严重的析氢/氧副反应,使得电池的库伦效率和循环寿命低下。最近研究发现,高浓度电解质可有效降低有机或水溶剂的电分解活性,大幅扩展电解液的电化学稳定性窗口。特别是,当电解质盐分解形成稳定的固体电解质界面(SEI)时,含水电解质的电化学稳定性窗口可以扩展到~3.0V。此外,当存在较高的盐浓度时,由于同离子效应,有望抑制活性材料的溶解问题。
最近,武汉大学钱江锋副教授和先进储能材料国家工程研究中心钟发平博士(共同通讯作者)提出使用LiVOPO4为正极和VO2为负极,20M LiTFSI高浓度水溶液作为电解质,构建一种新型全钒水系锂离子电池(VALB)。该VALB电池具有优异的电化学性能,平均工作电压为~1.4V,理论能量密度为84.0Wh/kg和305Wh/L,远远超过传统全钒液流电池的能量密度。该电池还具有优异的循环稳定性,在1000次循环中容量保持率为84%。此外,该VALB电池可在-20~80℃的宽温度范围内工作,适合更广泛苛刻的应用环境。该文章发表在国际期刊Energy Storage Materials上。
【核心内容】

图1.制备的LiVOPO4正极的XRD图(a),晶体结构图(b),SEM图像(c)和TEM图像(d)。所制备的VO2负极的XRD图(e),晶体结构图(f),SEM图(g)和TEM图(h)。

图2.全钒水系锂离子电池VALB的示意图。

图3.(a)分别使用1M和20M LiTFSI溶液作为电解质时,LiVOPO4正极和VO2负极的循环伏安图(实线)。(b)LiVOPO4正极和VO2负极在1M和20M LiTFSI电解液中循环20周后电解液的颜色对比。

图4.LiVOPO4正极和VO2负极在不同浓度的LiTFSI水溶液中充电/放电曲线。 (a)1M LiTFSI中的LiVOPO4正极,(b)20M LiTFSI中的LiVOPO4正极,(c)1M LiTFSI中的VO2负极和(d)20M LiTFSI中的VO2负极。

图5. LiVOPO4-VO2全电池的电化学性能。(a)充电/放电曲线(b)倍率性能(c)长期循环稳定性(基于正极活性材料质量)(d)功率-能量密度Ragone图(基于总活性材料质量)。

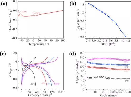
图6.(a)20M LiTFSI的热稳定性。(b)离子电导率。(c)不同温度-20℃,-5℃,25℃和80℃下的充电/放电曲线。(d)不同温度下VALB全电池的循环性能(基于正极活性材料质量)。
总之,通过使用LiVOPO4正极,VO2负极和20M LiTFSI水溶液为电解质构建了一种新型全钒水系锂离子电池。与传统的基于可溶性钒离子氧化还原反应的全钒液流电池VRB不同,该VALB电池的工作机理为Li+在固态钒基材料中的可逆嵌入/脱出,同时伴随着固态晶格中的VO3+/VO2+和V4+/V3+的可逆氧化还原。此外,采用高浓度20M LiTFSI电解液可提供宽广的电化学窗口,并抑制钒基材料在水溶液中的溶解流失,从而使电极材料在循环过程中维持结构的稳定性。得益于这些优点,该VALB电池展现出优异的电化学性能,平均工作电压为~1.4V,理论能量密度达84 Wh/kg,并具有出色的循环稳定性,1000次循环后容量保持率为84%。此外,该电池可以在-20~80°C的温度范围内工作。总的来说,该全钒水系锂离子电池有望在大规模储能领域具有巨大的应用潜力。

- 最新评论
- 我的评论