
使用方法千万种,安全寿命第一条,锂离子电池作为一种亚稳态系统,使用的过程中除了Li+正常的嵌入和脱出反应外,电极/电解液界面还存在电解液分解、过渡金属元素溶解和SEI膜生长等副反应,副反应的存在会导致锂离子电池的可逆容量和电性能的衰降。而使用条件,例如使用温度、充放电倍率等因素会对副反应的速率产生显著的影响,表现在宏观上就是使用条件会对锂离子电池的寿命产生显著的影响。
近日厦门大学的DongjiangLi(第一作者)和Yong Yang(通讯作者)等人对放电电流和使用温度对锂离子电池循环寿命的影响和作用机理进行了深入的研究分析。
实验中作者的研究对象为LG公司的ANR18650型号电池,其正极材料为NCM523,负极为石墨材料,电池分别在30℃、45℃和60℃下分别按照0.1C、0.5C、1C和2C的放电倍率倍率进行循环(充电倍率为0.5C),实验安排如下表所示。

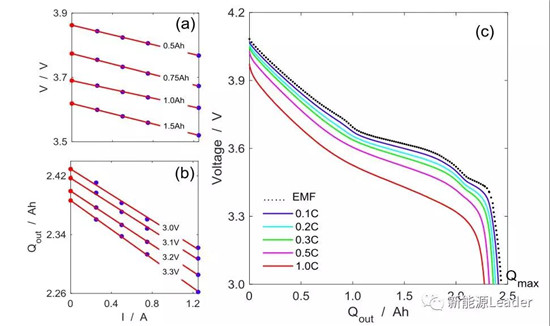
锂离子电池在放电的过程中由于欧姆阻抗和电化学极化的存在,我们实际得到的容量总要小于锂离子电池的“真实”容量,而电动力学EMF曲线是获得锂离子电池“真实”容量的有效方法。电动力学(EMF)曲线的原理非常简单,我们以下图为例,如果我们以不同电流下放电固定容量的截止电压与放电电流进行作图(如下图a所示),我们就能够得到一条直线,然后我们将直线向左延伸与Y轴的交点就是电流无限接近0,所有极化为0时电池的最高放电截止电压。如果我们以不同电流下放电到固定电压的容量与放电电流作图(如下图b所示),我们也能够得到一条直线,将该直线向左延伸与Y轴的交点就是在电流无限接近于0时电池放电到该电压时所能够得到的最大容量。从上面的分析我们能够看出EMF能够通过反推到电流为0的状态,从而最大程度消除极化对测试结果的影响,在分析锂离子电池衰降的原因方面具有非常重要的作用。

锂离子电池容量损失可以分为两种:1)可逆的容量损失,这种容量损失往往是由于使用的过程中电池极化增加造成的,能够通过降低放电电流的方式恢复;2)不可逆容量,这种容量损失往往是由于活性Li损失,正负极活性物质损失造成的,与电池的极化无关,也无法恢复,可以通过EMF外推的方法消除极化的影响得到不可逆容量损失。
下图a-c为在不同的温度下,不同放电倍率下NCM电池的不可逆容量损失与循环次数之间的关系,能够看到温度对于NCM电池的衰降速度具有重要的影响,高温下(60℃)电池的衰降速度显著高于常温下(30℃)的衰降速度。同时我们从下图能够看到如果以循环次数为横轴,则电池的不可逆容量损失与循环次数之间的关系并不显著,只有在60℃下能够观察到电池的放电电流越小衰降速度越快,而这通常是因为小电流循环同样次数需要的时间更长,长时间处于高温环境加剧了锂离子电池的不可逆容量损失。
作者又制作了不可逆容量损失与循环时间之间的关系曲线,从下图d-f能够看到如果我们以工作时间为横轴,那么电池的不可逆容量损失与放电电流之间就有显著的关系,放电电流越大则电池的不可逆容量损失速度也就越快,这主要是因为在相同的时间内,放电电流越大则循环的次数也就越多。这表明在常温下循环次数对锂离子电池的不可逆容量损失影响最大,时间对电池衰降的影响比较小,而在较高的温度下则时间也是一个不可忽略的影响因素。

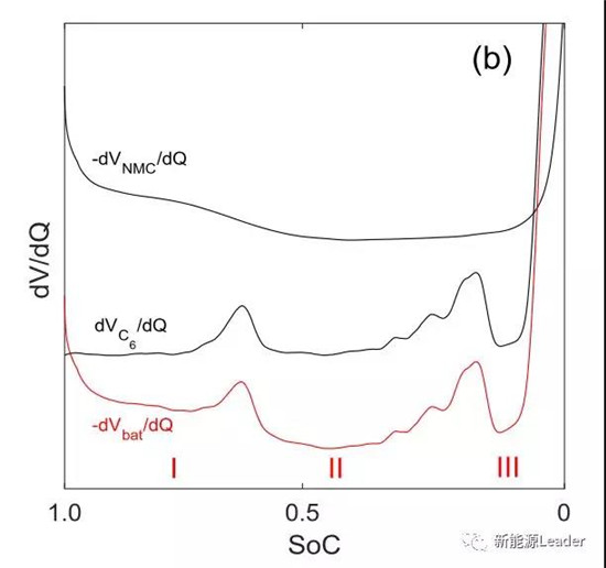
dV/dQ曲线是一种分析锂离子电池衰降原因的有效方式,下图为NCM正极、石墨负极和全电池的dV/dQ曲线,从图中能够看到NCM正极的曲线比较平滑,而石墨负极的曲线则有比较明显的峰,而全电池的dV/dQ中的峰则能够与石墨负极曲线上的峰一一对应,这也就为我们采用非破坏性手段分析锂离子电池衰降原因提供了可能性。

下图为在不同的温度和放电倍率下循环的电池的dV/dQ曲线,为了便于分析,下图中所有的曲线均固定α峰的位置(下图中红色峰),从图中我们能够看到在所有的电池中区域1的容量都出现了明显的减少,这一区域的容量损失主要来自两部分:活性Li的损失和正极活性物质损失;区域2的容量也出现了一定程度的减少,这主要反应了负极活性物质的损失,对比下图中曲线可以看到温度对石墨负极损失的影响不显著,放电电流对石墨负极的损失的影响比较大。

下图为石墨负极的XPS图谱,对比下图a和b我们发现代表石墨的C6峰(284.5eV)在经过循环后强度显著降低,代表SEI膜的成分的COOR、C=O等峰则明显增强,表明循环后负极表面的SEI膜的厚度显著增加。对Ni、Mn和Co元素的分析表明经过循环后石墨负极表面存在较多的Ni和Mn两种元素,还有部分Ni、Mn被还原成为金属态,但是负极表面几乎没有Co元素,表明循环中正极溶解的Ni和Mn元素相对较多,但是Co元素比较稳定几乎没有发生溶出。

对正极的XPS分析表明在NCM正极的表面存在较多的NiF2,但是几乎探测不到NCM材料中的Ni2+、Ni3+、Mn4+和Co3+、Co4+离子,但是随着溅射时间的增加,表层物质被破坏,这几种离子的信号强度开始逐渐增加,这表明正极表面也存在一层界面膜——CEI,其中NiF2是其中的一种成分,对正极表面的C、O等元素的分析表明含有机锂盐也是CEI膜中的一种重要成分。


从上面的分析来看,NCM523/石墨电池的衰降机理可以分为几个部分:
SEI膜的生长,持续的SEI膜的生长会消耗有限的活性Li,同时从正极溶解后迁移到负极表面的Ni、Mn元素还原为金属态还会封锁部分石墨负极,导致负极的活性物质损失,这都会造成电池不可逆容量损失。
正极表面CEI膜的形成,CEI膜成分主要分为两大类,电解液和锂盐分解产生的有机锂盐成分,HF与溶解的过渡金属元素的形成的金属氟化物(NiF2)成分,这会造成正极活性物质的损失,从而导致电池的不可逆容量损失。

- 最新评论
- 我的评论