
最近,交流群里关于锂离子损耗降低锂离子电池容量的话题,引发以下的热议:锂离子电池容量降低的主要原因之一是锂元素(化合物和离子)的不可逆损失,即形成了不可逆的锂化合物或者锂金属。不可逆的锂化合物是形成SEI膜的主要成分之一,而不可逆的锂金属主要是形成了枝晶锂和死锂。对于我们初学者来说,怎么理解锂枝晶更容易一些呢?
本文主要结合文献和实际工作经验讲述以下几个问题,讲述不对的地方,请各位前辈多多指正。同时我们也希望能够抛砖引玉,吸引各位专家更好的讲述一下锂枝晶问题。
1.锂枝晶是怎样形成的?
2.锂枝晶的特点是什么?
3.影响锂枝晶的因素?
4.怎样避免锂枝晶的形成?
锂枝晶是怎样形成的
早在20世纪70年代就有研究者对金属锂的沉积进行了细致的观测。然而锂枝晶的生长机理涉及电化学、晶体学、动力学、热力学等领域,十分复杂,因此至今没有一种普适性的枝晶生长理论。
电池中的锂枝晶问题与电化学工业上的电镀生产类似,如电镀Cu、Ni和Zn等,同样面临金属的枝晶生长问题。因而,电镀过程中积攒的经验,能够作为了解锂技晶生长的借鉴。之前的经验表明,在电镀过程中,电解液中存在一个阳离子浓度梯度,受限于锂离子的扩散速度, 当电流密度迗到一个特定值时, 电流只能维持一段时间被称之为沙滩时间,之后阳离子在靠近沉积电极一侧的电解液中耗费殆尽,这样就会打破沉积电极表面电中性平衡,形成一个局部空间电荷,从而导致电镀时产生枝晶。
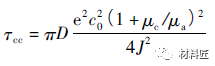
借助电镀经验和前人研究,M. Rosso 等人在考虑了沉积速率、离子浓度、电流密度、过电位和表面张力对嵌入和离子沉积过程的影响,提出一个关于锂枝晶的 Monroe-Newman 模型

式中: e为基本电荷单位; Co为初始浓度; D 为扩散常数; J为电流密度; μc为阳离子浓度; μa为阴离子浓度。实验表明: 当J2 增大时,τcc变小。
另外也有一些理论认为,由于金属锂负极表面凹凸不平,存在许多突起,导致突起处的电子电荷分布变多,导致更多的Li+ 被吸引而发生沉积形成锂枝晶。
总之,锂枝晶的生长是一个复杂电化学问题,涉及到许多因素, 因此很难用单一的模型或者理论来描述。但是,对于锂枝晶成核与生长的理论模型的研究与探索仍然在继续。
锂枝晶的特点是什么
锂枝晶在不同的电池环境、不同的时刻所呈现的形貌有所不同,如苔藓状锂、丝状锂、针尖状锂、晶须状锂、灌木状锂、树枝状锂等。由于各研究者对其描述各异,导致了这种名称多样化的现象。可简要分为3 类:① 无分叉,单根生长,如丝状锂、针尖状锂、晶须状锂;② 团簇状,生长时类似于面团的发酵过程,如苔藓状锂、灌木状锂;③ 可见明显分叉结构,枝干稀疏,为最危险的枝晶结构,易刺破隔膜,如树枝状锂。

枝晶的产生可分为3个阶段
锂枝晶的初始形核与生长过程枝晶的产生可分为3个阶段。
第一阶段,电池组装后,由于金属锂的高度活泼性,在接触到电解质中的有机溶剂等组分时能发生瞬时反应,形成SEI膜,即SEI 膜的形成早于枝晶的产生。致密的SEI膜可以阻止电解液与金属锂发生进一步反应,是一种良好的离子导体,但却是电子绝缘体。Li+可以穿过这层SEI膜在电极表面沉积,但由于锂、电解质、SEI膜的本身特性和充放电条件影响导致其沉积分布不均匀。
第二阶段,形核阶段,即不均匀沉淀的持续累积,导致某些地方凸起,直至顶破原始SEI膜。
最后进入生长阶段,刺破原始SEI膜后继续在长度方向上生长,成为可见的枝晶。同时,SEI膜也随着金属锂枝晶的生长而持续不断地反应增生,但始终包覆在金属锂表面。
一般来说,枝晶的数量主要由形核阶段决定,而枝晶的形貌则主要由生长阶段决定。

锂枝晶的生长过程原位电镜观察
锂枝晶是怎样形成的
根据Monroe-Newman 模型和实际工作经验,人们总结的容易发生析锂的原因有:
1过充电时,负极锂已饱和,多余的锂已金属析出
2在负极漏铜箔的地方,由于极化小,易锂合金化,易析锂
3大电流充电,负极表面锂来不及向内部扩散,在电极表面析出
4电极边缘,尤其是电极对齐时,受边缘效应影响,电流密度大,负极易析锂
另外,正负极冗余度设计不足,电池低温充电、正负极片间有气体接触不好、负极电解液浸润不好,SEI膜、电解液的种类、溶质浓度、正负极之间有效距离等等等因素都可能会导致负极析锂。
1.正负极表面不均匀
正负极表面不均匀的原因有很多,比如:涂布不均匀,正极涂布偏重或者负极涂布偏轻,活性物质混入杂质、正极或负极头部超厚等等。
正负极表面的粗糙度影响枝晶锂的形成表面越粗糙越有利于形成枝晶锂,枝晶锂的形成涉及电化学、晶体学、热力学、动力学等四大块的内容,David R. Ely的文章中有详细的描述。


2.锂离子浓度梯度及分布
锂离子从正极材料中脱出后,穿过电解液和隔膜,在负极接受电子。在充电过程中,正极的锂离子浓度逐渐增加,负极的锂离子浓度则因为不断接受电子而减少,在电流密度大的稀溶液中,离子浓度会变为0,Monroe-Newman 模型表明当离子浓度降低到0时,负极将形成局部空间电荷,并形成枝晶结构,枝晶结构生长速度和电解液中离子偏移速率相同。

自修复静电场理论, 金属阳离子会吸附在凸起处形成正的电场, 从而排斥同电荷的锂离子, 减少凸起
3.电流密度
在文章Dendrite Growth in Lithium/Polymer Systems中,作者认为枝晶锂的针尖生长速度与电流密度密切相关,如下式所示:

如果降低电流密度,可以在一定程度上延缓枝晶锂的生长,如下图:

怎样避免锂枝晶的形成
根据枝晶锂的形成及影响因素,可以从以下几方面来避免枝晶锂的形成:
1.控制正负极集流体涂布后的平整度。
因为之前已经讲述过,这里不再赘述了。
2.负极颗粒的尺寸要小于临界热力学半径。
在锂枝晶生长过程形成锂核,存在一热力学临界半径raq 与一动力学临界半径rk:


式中,为锂-电解质界面的表面能,Ω为锂的摩尔体积,z为电荷数,F为法拉第常数,Gf 为摩尔体积转化自由能。锂枝晶生长,首先必须克服热力学临界半径,才有足够的能量形核。其次,单个晶核只有大于动力学临界半径才能够生长,否则该晶核就会逐步消亡。
3.添加稳定负极-电解液界面的电解液添加剂
添加剂在锂负极表面分解、聚合或者吸附, 作为反应物参与SEI膜的生成以改变SEI 膜的组成与结构, 修饰SEI的物理化学性能, 另外也可以做为表面活性剂改变锂负极表面的反应活性, 调节锂沉积过程中的电流分布, 均匀锂沉积。添加剂在电解液中甚至有ppm水平就可以起到改善锂沉积形貌和循环效率的效果。因此, 使用电解液添加剂对锂负极改性, 是最经济、最简便的方法。
4.替换液体电解质为高强度凝胶/固体电解质
固态电解质则具有较高的模量, 可以阻止锂枝晶的生长和蔓延, 锂枝晶很难穿刺电解质导通正负极, 安全性得以大大提高, 因而被认为是锂金属电池最优的选择。

5.建立高强度锂负极表面保护层
无机陶瓷固态电解质的模量一般很高,可以阻止锂枝晶的生长和蔓延,但是值得注意的是模量高的无机陶瓷,意味着其接触性较差,会导致和电极接触不良,界面电阻过大。因此在选择无机陶瓷材料时, 必须在高模量和表面接触之间取得一个平衡。


- 最新评论
- 我的评论