
一、研究背景
过去十年里,虽然锂离子电池的正极材料一直为锂过渡金属氧化物,然而,过渡金属的溶解问题一直是一个限制,特别是尖晶石LiMn2O4正极,在长期循环或高温储存过程中经常表现出明显的容量衰减。其中锰的溶解是最重要的原因之一,尤其是当副反应生成的酸(HF)攻击LiMn2O4材料时,锰离子会溶解在电解液中。电解质氧化会产生氢离子,在电压大于4.1V时形成氢氟酸,使锰的歧化反应(2Mn3+ → Mn4++ Mn2+)变得更快,其溶解度也随着循环过程中高、低压区的相变而增加。当锰离子溶解到电解液中时,会出现几种相应的现象,包括结构不稳定、活性材料的损失和欧姆电阻的增加。
此外,溶解的锰离子重新沉积到正极表面还会形成非活性材料,虽然很多报道都说溶解的锰离子会沉积在负极侧,但其实这些锰离子也会重新沉积在正极侧,形成绝缘氧化物(Mn-O)或氟化物(Mn-F)。一些研究使用了物理建模和模拟来理解锰离子溶解和沉积的机理和影响,建立了锰离子歧化反应的数学模型,然而,这些物理模型仍旧处于早期阶段,还有很多地方需要补充和完善。
基于之前的研究结果,美国密歇根大学Jonghyun Park等通过系统地研究溶解锰离子溶解引起的一系列参数变化,来拓展我们对正极衰减的理解。为了研究过渡金属溶解对电池性能的影响,本研究选择了不同过渡金属氧化物体系中溶解速率最高的LiMn2O4正极材料,采用循环伏安法(CV)、电化学阻抗谱(EIS)和容量表征法研究了锰离子溶解对LiMn2O4正极性能的影响。此外,还通过测量开路电压、电导率、放电曲线和锰离子量等关键参数作为模型输入,建立了一个定量模型。本研究最重要的贡献结合实验和计算,定量地将锰离子的溶解和沉积行为与电池性能联系起来,特别是,通过实验和模拟比较了电极的衰减和电池行为的变化。
二、模型建立

本研究中使用的电池模型与实验中使用的电池具有相同的结构,均由LiMn2O4复合电极、锂箔、隔膜和1M LiPF6 in EC: DMC (1:1, v/v)电解液,如上图所示。
副反应模型:
本研究考虑的主要副反应为溶剂氧化、盐分解、氢还原、锰溶解、锰沉积和锰再沉积。
锰溶解:


溶剂氧化:

溶剂分解的反应电流密度为:

i0,oxid为副反应的交换电流密度。
盐分解:


负极处的锰沉积和H+还原:

x=0时负极表面的反应电流由下式得出:

正极上锰的再沉积:

电荷守恒:
正极和电解质中的电荷守恒可以用下式表示:

正极中锂离子的脱嵌反应用Butler-Volmer方程表示:

负极表面的锂电流密度由下式得出:

传质过程:
在隔膜区域,只有电解质分解作为副反应发生,传质方程由下式给出:


三、文章详解
3.1 实验测试分析

作者采用多种实验技术,研究了锰离子对正极的衰减过程,为模拟提供了输入参数,然后通过使用物理衰减模型和测量的输入参数进行模拟。上图为实验和模拟的示意图,在本研究中,进行了几项实验,一些是为了了解衰减机制,一些是作为模拟的输入参数,而另一些是用来验证模型预测。
电导率测量:
一般来说,电极电阻来自电极颗粒、导电添加剂和集流体,纯LiMn2O4的电子导电率约为0.2 ×10?6 – 2 × 10?6 S m?1,而复合电极的电导率很大程度上取决于样品中炭黑的含量。在模拟中,作者使用9.8 S m?1的测量值作为有效固相电子导电率的输入参数。
ICP-OES测量:

为了了解温度、储存时间和粒度对锰离子溶出的影响,作者用电感耦合等离子体发射光谱法(ICP-OES)测定了正极中锰的溶出量。上表显示了在0°C、室温和40°C条件下,在1 M LiPF6 EC: DMC (1:1)电解质中储存1周至5周期间,从LiMn2O4复合电极溶解的锰浓度。在表中,锰的溶解(mM)是通过将电解液中锰浓度(mg l?1)的测量ppm值除以锰的摩尔质量(54.938 g mol?1)得到的。结果表明,高温和延长的储存时间加速了溶解过程。

上图为不同粒径的复合电极和粉末电极在储存7天后溶解锰的平均浓度,对于粉末和复合电极而言,粒径较小的电极比粒径较大的电极溶解得更快,这是因为粒径较小的电极中更多表面积暴露在电解液中,导致更多的酸腐蚀。粉末电极溶解后的锰浓度是复合电极的10倍左右,这是由于粉末电极中与电解质接触的表面积较大,部分原因可能是复合电极中使用的聚偏氟乙烯粘合剂,聚偏氟乙烯粘合剂为颗粒之间以及颗粒与集流体之间提供了良好的粘合性,这可能会减少暴露在电解液中的活性材料的表面积,从而减少锰的溶解。

上表为不同循环次数后,1 M LiPF6 in EC:DMC (1:1)中5μm粒径的复合电极中溶解锰的浓度,在用C/10进行三个循环后,开始正式循环。循环使电池中更多的锰离子从LiMn2O4电极中溶解,而不是将电极储存在电解液中。先前使用旋转环盘电极法的研究表明,在50次循环后,大约16.5 ppm(0.3mm)的锰溶解;另一项研究报告称,60 ppm(1.092mm)的锰在55次循环后溶解。在本研究中,50次循环后溶解了1.017mm的锰。
CV和EIS测试:

上图为电解质中不同锰离子浓度的LiMn2O4电极的CV测量结果,当锰浓度增加到200 ppm,LiMn2O4电极的阴极电流峰值降低5.37%,由于锰离子的存在,电解质/电极界面间的电荷流动能力降低。

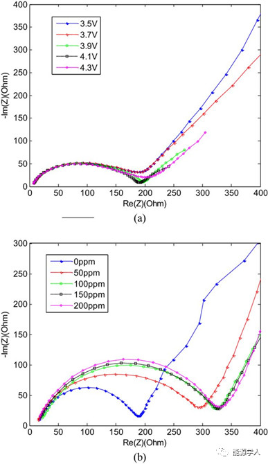
上图a为不同电压下LiMn2O4电极的EIS测试结果,利用EIS可以分离电解质、SEI层、界面和扩散等阻抗源。复合电极的典型阻抗谱由一个倾斜的半圆组成,如上图所示,高频区半圆的左端点与隔膜内电解质的欧姆电阻有关,中频区半圆的半径与电解质/电极界面处的电荷转移反应有关,与右边半圆相连的斜线表示锂在电极中的扩散。

作者在上图中分别拟合了欧姆电阻和电荷转移电阻图,以观察电压的影响,电荷转移电阻的变化与电极中锂的浓度有关。在图6a中,最低电荷转移电阻出现在4.1V,已知其对应于LiYMn2O4材料的y=0.5。
容量测试:

不同锰浓度下LiMn2O4电极容量随循环次数的变化如上图所示,放电容量随循环不断减小,很明显,锰浓度越高,容量下降越大。由于锰离子的溶解,容量在16个循环中显著下降,高达15%,这是由于锰和电解质分解产物在电极表面的沉积阻碍了循环过程中的锂化/脱锂过程,从而导致放电容量的下降。此外,随着循环次数的增加,电池容量不断减小,这表示与石墨电极的固体电解质界面(SEI)层相比,正极电解质界面层相对较薄,因此钝化效果较小。当溶解锰浓度较高时,容量下降幅度较大,正极表面形成的锰化合物的电导率低,可能是缺乏钝化作用的原因之一。
3.2 模型预测结果和实验结果准确性对比分析

上图为通过实验和模拟获得的电压曲线的比较,以实验测得的OCV曲线作为模拟输入,在图a中,黑线表示使用先前研究的OCV曲线的电压输出,而红线显示使用测量的OCV模拟预测的电压曲线。利用测量的OCV曲线(红线)模拟得到的输出电压波形与实验结果(蓝圈)无缝匹配,表明该模型的准确性。

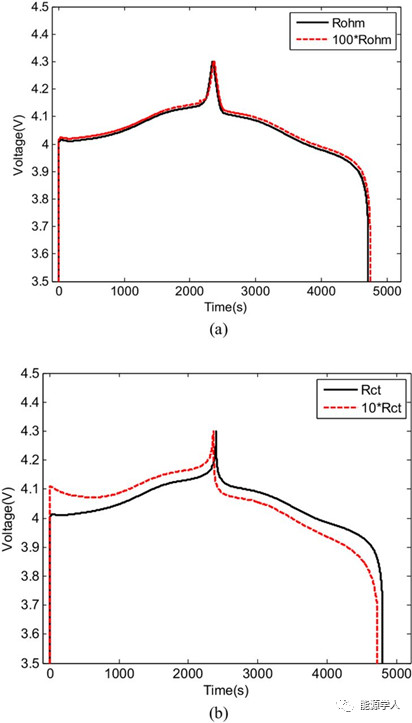
上图为不同欧姆电阻值和电荷转移电阻值下Li/LiMn2O4半电池充放电循环的模拟结果,我们可以观察到,欧姆电阻越高,电压平台越高,而电荷转移电阻越高,电荷和放电曲线就越不平衡。由于电阻随着循环次数的增加而增加,因此在循环过程中电压曲线会发生变化,电阻的增加对容量产生了负面影响。

图a显示了不同盐分解反应速率常数下,正极材料的体积分数随循环数的变化,由此可见,体积分数的降低对盐分解反应速率不敏感,正极体积分数的降低与锰溶出反应速率常数直接相关。图b显示了锰溶解在不同反应速率常数时,体积分数作为循环数的函数,结果表明,锰溶出反应速率常数对体积分数有显著影响。

由于锰的溶解,活性物质的有效体积分数不断变化,作者利用计算出的锰溶解反应速率常数,预测了50个循环后活性材料体积分数减少1.87%,如上图所示。同样,通过使用ICP-OES测量电解质中溶解锰离子的量来计算实验中活性材料体积分数的变化,实验和模拟显示出相似的趋势。

上图为作为循环数函数的归一化容量的实验和模拟之间的比较,实验表明,容量损失约为10.5%,模拟显示50个周期后容量损失约为10.9%。在作者的模拟中,由活性材料损失引起的容量损失仅为1.87%,这表明锰溶出对活性物质的损失作用不大。电极性能的下降,如欧姆电阻的增加、电荷转移电阻的增加、扩散系数的降低,是导致容量下降的主要原因。
四、文章结论
在本文中,作者采用实验和模拟相结合的方法,系统地研究了LiMn2O4复合电极的降解及其对电池性能的影响。具体地说,作者关注的是由于锰离子引起的正极参数的变化。采用不同锰浓度的电解质,作者用LiMn2O4/Li半电池进行电化学测量,以阐明锰溶解对正极的影响,根据CV、EIS和循环结果,作者发现锰离子通过再沉积对正极产生负面影响。随后作者采用基于物理的、带有关键输入参数的副反应耦合电化学模型解释了电极衰减的程度和机理。模拟和实验表明,50个循环后,由于副反应,容量分别下降10.9%和10.5%。作者的研究表明,活性材料的损失和衰减引起的参数变化是影响电池性能的关键因素。

- 最新评论
- 我的评论