
美国能源部(DOE)已经表明极速充电(XFC)是实现电动汽车广泛应用必须克服的关键难题。在理想情况下,电动汽车应该能够在与传统内燃机汽车相同的时间内充满电。目前能源部的目标是15分钟内为高能量密度电池(>200 Wh/kg)充电,这要求电池达到4C到6C的充电速率;尽管某些薄电极锂离子电池可以以非常高的速度充电(>5C),但代价是降低20%以上的能量密度和昂贵的电池制造成本。高能量密度电池的充电时间受到锂沉积、快速升温和潜在的颗粒开裂等因素的限制,如何解决锂电池的快速充电问题是极具难度而又意义重大的挑战。
【成果简介】
近日,美国科罗拉多国家可再生能源实验室Kandler Smith课题组在国际知名期刊Journal of The Electrochemical Society发表题为“Requirementsfor Enabling Extreme Fast Charging of High Energy Density Li-Ion Cells while AvoidingLithium Plating”的文章,研究了高能量密度石墨/NMC电池在无锂沉积的情况下快速充电对电极/电解质的要求。作者对不同负载下电池的高倍率充电数据进行了电化学模型验证,该模型阐明了高能量密度电池的主要限制是电解质输运不良,导致锂在石墨/隔膜界面沉积从而造成电解质盐的损耗。接着,此模型被用来探究未来电极和电解质的哪些性能将有助于4C和6C的快速充电,即理想情况下,未来电解质应该达到的参数为2X(倍)的电导率,3-4X的扩散率和0.5-0.6的迁移数。另外,在高温下充电可以提高电解质1.5S的导电性和2-3X的扩散率,而对转移数的影响可以忽略不计;另一个有效的方法是减少电极的曲折也能有利于电池的快速充电;然而经过作者研究发现,提高电极孔隙率和负正比对电池的快速充电无有效作用。
【图文导读】

图1显示了在1.5 mAh/cm2正极负载下,在3、5和7C CC(恒流充电)下充电至4.2V和CV(恒压充电)直到电流低于C/5的充电情况。在每个充电条件下,均采用恒定的C/2放电速率。由于长CV保持时间,对于所有的充电速率,C/2的放电容量是非常相似的。图中以实线显示了模型预测。
图1 (A)A12石墨负极//NMC532正极的单层软包电池在3、5和7C的CC部分充电时的电压图,充电电流1.5 mAh/cm2,有效尺寸为14.1 cm2。点是电池数据,实线是模型预测电压。(B)1.5 mAh/cm2软包以3C, 5C, 7C充电率充电后的放电容量(C/2速率)循环图。
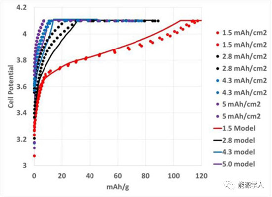
然后作者研究了不同负载量的电池以6C的速度充电,4种不同电极负载的纽扣电池在6C CC充至4.1V,在4.1V保持10分钟。充电曲线如图2所示。

图2 孔隙率为30-35%的不同电极负载的电池在6C充电时的电池电位。实验测量结果用点和线表示模型预测的电压。试验在30℃条件下使用标准Gen2电解质进行。
图3显示了在6C CC充电部分结束时电池内的电解质浓度分布图,该模型用于研究高负荷电池6C充电性能较差的问题。

图3(A)电解质浓度和(B)嵌入部分的预测模型,为6CCC充电至4.1 V时电极内部位置的函数。每条线代表不同负载量的电池,归一化电压是电池内的位置除以电池总厚度。注:1.5 mAh/cm2电池的总厚度为100μm,5 mAh/cm2电池的总厚度为324μm。
除了可实现的容量和效率较差外,该模型还预测,负载较高的电池还会受到锂沉积的影响。图4为石墨/隔膜界面固相电极电位与液体电解质相电位的电压差。

图4 在6C CC充电过程中,固体电极电位减去石墨隔膜界面电解质相电位与负极容量的函数,每条线代表不同负载量的电池。
图5显示了模型预测的SOC在4和6C CC充电到4.2V时与电极负载的关系。

图5 (A)对充电状态SOC/容量关系的模型预测图,(B)是锂电镀电压与容量的关系,在4C和6C CC充电至4.2 V时A12石墨土豆状颗粒和球形颗粒形状的负极的表征。在容量图中,锂镀层量的预测时,直线变为虚线。
增加电极孔隙度可以提高电解质的有效输运性能,图6显示了高负载3和4 mAh/cm2、电极孔隙率为30%和40%的球形石墨颗粒电池的能量密度和体积能密度随充电速度变化的模型预测。

图6 模型预测了3mAh/cm2(蓝色)和4mAh/cm2(红色)电池用CC充到4.2 V的应用质量(A)和体积(B)能量密度随充电速度的关系。(C)是锂电镀电压随充电速度的关系,实线表示孔隙率为30%的电极,虚线表示孔隙率为40%的电极。
图7和图8用模型预测了电池目前的标准电解液与假设的两种下一代电解质的参数。

图7 使用标准碳酸盐电解质和假设的下一代1(NextGen 1)电解质的电池CC充电时,模型预测能量密度(A)和石墨/隔膜界面镀锂的电压(B)随充电速度的关系。该模型是对于3mAh/cm2负载、球形阳极颗粒和30%孔隙率的电池,与标准电解质相比,下一代1电解质的具有1.8X(倍)的离子电导率,3X的扩散率,迁移数大0.05。

图8 使用标准碳酸盐电解质和假设的下一代1(NextGen 2)电解质的电池CC充电时,模型预测能量密度(A)和石墨/隔膜界面镀锂的电压(B)随充电速度的关系。该模型是对于3mAh/cm2负载、球形阳极颗粒和30%孔隙率的电池,与标准电解质相比,下一代2电解质的具有2.3X的离子电导率,4X的扩散率,迁移数大0.15。
图9的模型进一步探讨了不同电解质输运特性对实现不镀锂的极速充电的重要性。

图9模型预测的(A)能量密度和(B)石墨/隔膜界面的镀锂电位在各自改进的电解液中的性能表现。De、kappa和trfn分别代表电解质扩散率、离子电导率和转移数。
图10和图11描述了将工作温度从30°C提高到45°C和60°C时,不同负载量的电池的电解质运输能力会有明显的提升,但低负载的电池性能会更好。

图10模型预测的在30°C、45°C和60°C 下(A)能量密度和(B)石墨/隔膜界面镀锂的电位随电池充电速度的关系。该模型基于的是3 mAh/cm2负载和30%孔隙率的电池,只考虑了温度升高时对电解质输运的改进。

图11模型预测的在30°C、45°C和60°C 下(A)能量密度和(B)石墨/隔膜界面镀锂的电位随电池充电速度的关系。该模型基于的是4 mAh/cm2负载和30%孔隙率的电池,只考虑了温度升高时对电解质输运的改进。
图12和图13的模型研究了减小迂曲度对负载为3 mAh/cm2和4 mAh/cm2的电池XFC性能的影响。

图12模型预测的(A)能量密度和(B)石墨/隔膜界面镀锂的电位随迂曲度的关系。该模型基于的是3 mAh/cm2负载和30%孔隙率的电池,测量的球形颗粒与粘结剂相的电极的迂曲度为3.3,迂曲度1.8的为冷冻铸造等非常规加工电极,1为理论极限。

图13模型预测的(A)能量密度和(B)石墨/隔膜界面镀锂的电位随迂曲度的关系。该模型基于的是4 mAh/cm2负载和30%孔隙率的电池,测量的球形颗粒与粘结剂相的电极的迂曲度为3.3,迂曲度1.8的为冷冻铸造等非常规加工电极,1为理论极限。
图14的模型研究了负极/正极比对XFC过程中抑制锂沉积效果的影响,假设的石墨的理论容量为370mAh/g,计算了N/P比。

图14模型预测了(A)能量密度、(B)体积能密度和(C)石墨/隔膜界面锂电镀的电位在不同N/P比时随充电速度的关系。该模型基于的是45℃下标准Gen2电解液、3 mAh/cm2负载、球型颗粒电极、孔隙率30%电极的电池。
根据模型预测,使用标准的碳酸盐基电解质仅通过降低迂曲度或提高工作温度是无法在无锂沉积的条件下将3-4 mAh/cm2电池快速充电至较高的SOC,如图15所示。

图15模型预测的(A)能量密度和(B)石墨/隔膜界面镀锂的电位在45°C不同迂曲度的电池随充电速度的关系,该模型基于的是3 mAh/cm2负载和30%孔隙率的电池。
图16展示了一个具有4mAh/cm2电极降低了迂曲度的电池的模型预测,可以发现即使在60°C下工作,4 mAh/cm2的负载也需要更高的电极孔隙率,以防止在6C时发生锂的沉积;而在孔隙率为40%时,4 mAh/cm2的电池总的能量密度和体积能密度小于孔隙率为30%时3 mAh/cm2的电池。

图16模型预测的(A)能量密度和(B)石墨/隔膜界面镀锂的电位不同孔隙率电极的电池随充电速度的关系,该模型基于的是4 mAh/cm2负载的电池。
【总结】
结合实验和建模,研究了快速充电所需的高电极负载电池的限制,电解液的输运是造成锂沉积和厚电极电池利用率低的主要限制因素。利用一系列的模型来探索可能的解决方案,以实现负载3-4mAh/cm2的电池超快速充电。结果表明,对于负载为3-4mAh/cm2的电池,在6下充电需要改进的电解质传输性能,降低的电极弯曲度,升高运行温度和1.1-1.2的N/P电极比。

- 最新评论
- 我的评论