
本文主要对锂离子动力电池制造过程的挤压式涂布工序进行简单介绍,并结合Abaqus软件对其涂布工艺进行研究。
基本介绍篇
一、挤压式涂布类型
关于挤压涂布我理解为通过流体通过挤压经过有特殊流道的涂布头涂覆在运动的基材上。整个系统如下图所示(图片来自于Quinones D M, Carvalho M D S. EFFECT OF DIE LIP CONFIGURATION ON THE OPERATING WINDOW OF SLOT COATING PROCESS[J]. Abcm.org.br, 2006.)。

根据涂布头与基材距离及形成的涂布头与基材之间的流体形态分为狭缝式挤压涂布(Slot Coating)和挤压 式涂布(Extrusion Coating),如下图所示。两者的区别主要在于流体有无润湿唇口,前者润湿唇口,后者没有。锂离子动力电池的涂布工艺采用的是狭缝式挤压涂布(Solt Coating)。

两者的区别主要在于流体有无润湿唇口,前者润湿唇口,后者没有。锂离子动力电池的涂布工艺采用的是狭缝式挤压涂布(Solt Coating),涂布系统
二、狭缝式挤压涂布原理介绍
狭缝式挤压涂布的流动分布二维示意图如下:图片来自于Prof. Marcio 的一篇文章《Fundamentals of Slot Coating Process 》

决定涂布质量的因素主要包括:涂布头与基带的间隙、流量、基材速度、涂布头结构、流体特性等。
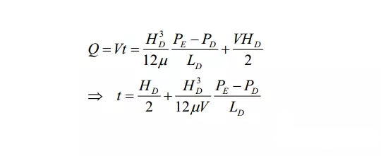
根据平行板间艾库特流(可参阅上海交通大学工程力学教学基地查找流体力学教学资源进行深入了解)与Prof. Marcio 的润滑近似模型,可得厚度 t 公式如下:

可知涂布厚度与涂布头与基带的间隙、流体粘度、基材速度、涂布头唇口尺寸、流体及外部压力有关。由公式可知,涂布头与基带的间隙为机械配合、流体粘度跟来料浆料有关、基材速度为电机控制、涂布头唇口尺寸由涂布头决定,以上因素比较容易保证一致,影响涂布质量厚度均匀性就突出表现在流体及外部压力,外部压力一般为室内常压,则涂布头唇口内及出口处的压力均匀性就显得异常重要。涂布头唇口内及出口压力分布均匀性与供料系统稳定性和涂布头结构有很大的关系。
三、挤压式涂布头结构介绍
涂布头结构其实比较简单,主要包括上模、下模、垫片三部分。下膜有特殊的型腔(例如梯度式、衣架式、单腔式和双腔式等),上模相对比较简单,垫片位于上下模之间可根据不同的涂布形式进行选择(例如斑马线、全涂等)。
浆料特性篇
一、浆料构成
锂离子动力电池浆料基本上由活性物质、导电剂、粘结剂、溶剂构成,一般构成如下图所示

二、浆料特性
浆料作为涂布工序的来料,其特性直接影响涂布质量。通过浆料构成我们可以知道浆料属于固液两相流体。生产上对浆料质量控制点主要有粘度、固含量、密度、细度和PH值。浆料的均匀一致性对于涂布工艺环节至关重要,检验浆料均匀一致性可通过检测不同区域浆料的质量控制点获取。
由于浆料粘度受温度、搅拌速度、沉降时间等有关,根据牛顿流体与非牛顿流体定义,我们把浆料归为非牛顿流体。浆料在搅拌相对均匀后,随着搅拌时间的增加,浆料粘度逐渐降低,最后趋于一个稳定值。根据相关文献,锂离子电池浆料在配比、均质状态下,存在随着剪切率增加粘度减小的显现,即剪切稀释现象。综上,我们将锂离子电池浆料归结为有剪切稀释现象的非牛顿流体。由于浆料根据材料不同、配比不同、匀浆情况不同,在不同条件下,浆料的流体特性存在着变化,本文只针对普遍和相对均一条件下的浆料流体特性进行介绍。
密度ρ:锂电池浆料密度一般在1400~2000kg/m3
粘度μ:锂电池浆料根据不同工艺条件粘度一般控制在1~10Pa·s
在以上基础上,我们已经知道涂布头的结构,由于本文主要关心涂布模头內流场状态,本文只建立流道液体模型。
用户可通过第三方3D软件进行建模,然后导出stp或者x_t通用格式,然后通过import Assembly,将浆料流体的几何模型导入。
1)建立几何模型
创建 With CFD Model,然后点击File→Import→Aseembly,选择导出的stp x_t文件,(本文导入选择Assembly而没有选择Part,因为在直接导入Part时,会出现导入壳体现象。)建立模型如下:

轴测图

侧视图
2)创建材料属性
由于本文建立模型,使用的为mm,及单位统一为mm制。
浆料密度1.7e-9 tone/mm3,粘度为1500cps,即1.5e-6MPa·s。将以上材料属性赋给几何模型。
3)创建装配体
虽然以装配体导入的几何模型,但是系统识别为部件,需要切换到Assembly Model建立装配体。
4)划分网格
本文可通过分割工具,对模型进行分割,采用结构化网格、扫略网格和自下而上网格划分对几何进行六面体Hex网格划分,本文为节约网格划分时间和计算时间,本文使用四面体Tet流体单元FC3D4。通过边线布种控制网格密度,网格划分结果如下:

网格划分结果
5)创建流体分析步
进入Step Module,创建流动分析步,Time Period:1,Initial time increment:0.001,Tubulence Model:None。此处的时间增量的选择跟网格划分质量、载荷大小有关。考虑浆料粘度大,挤压缝窄,速度小,选择不使用雷诺模型。

编辑分析步对话框
6)创建边界条件及载荷
边界条件及载荷主要有三个,具体操作可参考前面文章《ABAQUS/CFD基简单知识与案例》。
①入口速度边界条件,速度为0.5mm/s

②出口压力边界条件,0MPa

③流体避免边界条件,无滑动(出去入口和出口)

7)创建任务,并提交。
此步骤与之前案例分析步骤一样,提交任务后,可进行任务运行监测。完成后,点击Result,自动导入运行结果后,进入Visualization Module。
8)后处理
通过后处理功能可查看涂布头内流场的压力分布

速度分布

通过Stream工具,创建压力或速度流线显示效果图,
如下为压力流线显示图。

涂布外流场仿真分析篇
本节主要是通过ABAQUS / Explicit的CEL算法对涂布外流场进行仿真分析,获取涂布起始到稳定的过程。用户可根据教程查看给料速度、基材速度、涂布粘度等对涂布厚度的影响。
一、狭缝式挤压涂布模型
狭缝式挤压涂布外二维示意图如下:

二、Abaqus算法选择
Abaqus能够进行流体分析的方法主要有CEL(Coupled Eulerian-Lagrangian)欧拉耦合算法、CFD(Computational Fluid Dynamics)计算流体力学和SPH(Smooth Particale Hydrodynamics)光滑粒子流体动力学。关于三者的使用范围及对比,用户可百度搜索查看“Comparison of CEL, CFD, and SPH in Abaqus ”一文。
CEL和CFD均采用流体材料流过固定的网格节点算法,因为CEL能够清晰的显示流体材料自由面的显示,而Abaqus/CFD不能,固本文选择Abaqus CEL方法进行。此外Abaqus/CAE后续版本不在有CFD模块,CFD模块融入到了3DEXPERIENCE r2017,相信后边会完善本身类似FLUENT的VOF模型、能够在CFD模块添加流体。
三、Abaqus仿真应用
1、建立部件及装配几何模型。
建立Exolicit Model。点击打开Abaqus/CAE,选择With Standard/Explicit Model。
创建如下Parts:流体区域几何部件、入口速度推挤部件、涂布基材部件。因在显示动力学分析中CEL算法下的流体材料入口无法选择连续速度供给条件,本文将入口区域增加,添加一类似活塞作用的推块以提供速度入口条件。装配模型如下:

备注:
1)因采用CEL算法,需将使用部件设定为Eulerian类型,且必须选择3D,如下图所示,

2)为简化模型为二维,我们建立部件过程将厚度设定为1。其他模型选择为离散刚体,如下图

3)在建立装配过程中,建立的离散刚体实体部件不能直接加入装配体,需在Part Module下选中刚体部件,通过菜单栏点击Shape→Shell→From Solid,将其转换为壳体。
4)创建装配实体过程中选择独立网格形式。
2、建立材料属性
建立浆料材料属性为如下三个属性:密度(Density)、粘度(Viscosity)、eos(equations of state)。在Explicit模型下,需借助状态方程Us-Up进行流体动力学的材料的创建,如下图所示。

其他状态方程使用方法及理论,用户可查看Abaqus手册,密度设定为1000,面对设定为5000。建立好材料后建立截面属性,然后将界面属性赋给流体区域几何部件。
3、创建分析步,及输出结果设定。
切换至Step Module,创建新的分析步,显示动力学,Time设定为20s,其他保持不变,创建结果如下图。
创建流体区域的几何分数EVF显示,及推块及部件的位移输出。


4、创建接触特性及参考约束
建立Tangential Behavior接触特性,摩擦方程选择Penalty(罚函数),系数设定为10。因材料无法建立材料与基材间的粘结属性,本文选择Penalty接触特性来建立流体材料与涂布基材的粘附效果。相关理论可查看Abaqus documentation 下的Abaqus/CAE User's Guide。

建立接触面自接触,如下图所示

创建入口速度推挤部件的考点,并建立点与部件的刚性约束。如下图所示。同理建立涂布基材部件参考点和刚性约束。

5、划分网格
通过分割工具对流体区域几何部件进行几何分割,以能够使用结构化网格划分方法,通过边线布种,进行网格划分,划分结果如下,流体区域几何的网格类型为:EC3D8R。

6、创建载荷及边界条件
1)创建涂布基材的边界条件
建立除运动方向外的位移约束

创建涂布基材的速度边界条件

2)同理创建入口速度推挤部件边界条件,建立位移约束和速度边界条件。
速度边界条件如下

3)创建流体区域几何的边界条件。
设定Z方向的内外两面Z方向初始速度边界

设定入口两侧X方向初始速度边界,如下图所示

设定涂布头出口处Y方向的初始速度边界条件,如下图所示

4)创建预定义场Material assignment,粉色区域为初始时流体填充区域,Void为零,表明材料填充完全。

7、创建分析任务、提交、及后处理。
创建任务,提交后,可查看EVF,Void/Material volume fraction in element(Eulerrian)。点击云图进行显示,结果如下,红色区域为流体。

用户可通过改变材料及基材速度等条件进行查看对比。下图为基材速度为24和30的效果对比图。

本文几何模型及数据不可作为真实数据看待,只是作为仿真展示使用。

- 最新评论
- 我的评论