
人们发现锂离子电池之所以能具有出色的稳定性能主要是因为电解液可以在石墨表面生成稳定的SEI膜,因此石墨可一直被用作商业化锂离子电池的负极材料。但石墨的低容量严重限制了高比能量锂离子电池的发展,为此硅基材料开始走上历史的舞台。硅的高理论比容量使之一跃成为明星材料,但其严重的体积膨胀效应会破坏其表面的生成的SEI膜,导致电解液会在硅表面持续分解,造成电池的性能不断下降。为使硅材料实现真正的应用,各种各样的抑制硅体积变化的材料被提出,其中硅碳复合材料最为引人瞩目。
但无论是石墨还是硅基材料,它们得到真正应用的关键因素在于其表面能否生成稳定的SEI膜。尽管电解液是生成SEI膜的关键性因素,但是电解液注液量对硅电极的影响却鲜有报道,目前许多文献中电解液的用量通常借鉴于纽扣电池,但实际情况是纽扣电池的电解液用量往往是过量的,而且除了电池性能外,电解液用量的多少也在一定程度上决定了电池成本的高低。
为了探究这个问题,确定电解液的最佳用量,美国橡树岭国家实验室的David L.Wood, III与Seong Jin An教授就电解液注液量对C /NMC [1]和Si-C/NMC [2]锂离子电池性能的影响进行了深入研究。
一、注液量对石墨/NMC532性能的影响
实验结果证明,要想获得具有最佳的循环性能以及低阻抗的电池,需要的最小电解质体积因子为电池组件(正极,负极和隔板)的总孔体积的1.9倍。过少的电解质会导致测量时欧姆电阻增加。 相对于初始值,在100次循环后,正极处的电荷转移和钝化层的电阻增加1.5-2.0倍,电荷转移的电阻比钝化层高2-3倍。 差分电压分析表明,当电池循环放电后,负极放电后脱锂量减少。但注入过量电解液后对电池的循环稳定性并没有明显的提升,还原阻抗反而进一步增加。

图1.测试步骤

图2.电解质体积和电池循环性的相关性(a)对于不同的电解质体积因子组,F的放电容量在0.33C / -0.33C下循环;(b)在每个“循环”之后的单个电池电解质体积因子f,其中每个循环对应于20个0.33C / -0.33C老化循环。

图3. (a-b)循环前软包电池的NMC阴极半细胞的EIS数据,电解质体积因子为f 1.25 (a)和f 1.89(b) 。(c-f)100个循环后软包电池的NMC阴极半细胞的EIS数据f 1.25(c),f 1.89(d),f 1.29(e)和f 1.94(f)。

图4. (a)NMC正极纽扣电池的电阻;(b)在100次循环后软包电池的电阻。

图5. 来自于软包全电池中半电池的差分电压曲线,f 1.94(a),f 1.29(b),来自于软包全电池的差分电压曲线f 1.94(c),f 1.29(d)。(1)和(2)分别是老化循环前后的正极曲线
【拓展知识】
电解质体积因子:f=电解质体积/总孔体积;
其中总孔体积=正极孔体积+负极孔体积+隔膜孔体积
本文中,作者所使用电极和隔膜的孔体积见下表:
二、注液量对石硅碳/NMC532锂电性能的影响
实验结果发现硅碳/NMC532电池要想获得最好的循环性能,需要最小电解质体积因子为电池组件(正极,负极和隔膜)的总孔体积的3.1倍。电解质过少导致欧姆和电荷转移电阻的增加,并且可以明显观察到锂枝晶的生成。并且随着电池放电的进行,负极的电阻显著增长。但电解液过量时,电池容量变化和容量衰减较快,SEI膜的厚度随着电解质体积因子的增加而增加并且在循环后变得不均匀。

图1.测试步骤

图2. 电解液注液量与电池循环能力的相关性。(a)在0.05C/ -0.05C的前三个循环期间的放电容量,(c)在0.333C/ -0.333C下老化循环的放电容量,(e)对于不同的电解质体积因子组F,在0.05C/ -0.05C下最后三个循环; 相应的不可逆损失在(b)前三个循环,(d)老化循环和(f)最后三个循环期间的容量损失(ICL)。

图3. F1.6, F2.6和 F3.5循环100次后的正负极及隔膜图片。

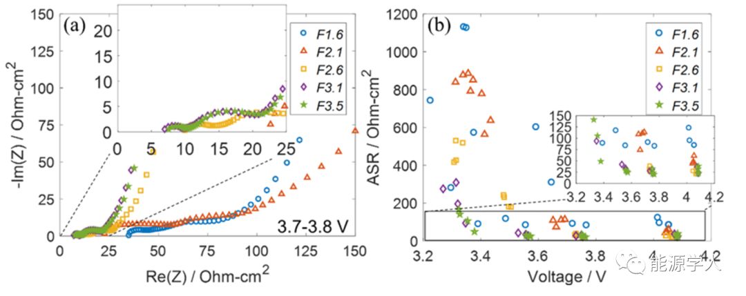
图4. (a)具有不同电解质体积因子组的电池100次循环后,在3.75V附近的15wt%Si-石墨/ NMC532电池的阻抗谱。 (b)不同电压下EIS的总电阻。

图5. (a)XPS从F1.6,F2.6和F3.5的深度剖面峰值和(b)来自XPS调查扫描的顶面(溅射前)的原子百分比。 基于SiO 2的溅射速率计算深度。
虽然两种类型的电池注液量有所不同,但都表明电解液的注入量对电池的性能发挥有所影响,并且但电解液过少都会导致阻抗增加,循环稳定性降低。但一味地增加电解液的量也并不是一件好事,在增加成本的同时,还可能对电池的性能有负面影响。

- 最新评论
- 我的评论