
提高能量密度是人们对锂离子电池永恒的追求,特别是在近年来补贴政策的推动下,动力电池的能量密度持续提高,但是在现有的体系下能量密度最高能够达到350Wh/kg,继续提高能量密度就需要采用新的锂离子电池体系。在众多的高能量密度体系中,全固态电池无疑是目前最有希望的选择,全固态电池不仅技术成熟度相对较高,也拥有像Goodenough、崔屹等一批国际顶尖学者的支持,国内外众多锂离子电池企业也将全固态电池技术作为重要的下一代技术储备。
全固态电解质经过多年的发展,在常温离子电导率方面已经实现了突破,例如石榴石、硫化物等固态电解质的电导率已经与碳酸酯类液态电解质相当,现在固态电解质面临的问题集中在电池结构的设计上,具有较高电导率的电解质往往塑性差、加工性能不好,因此电解质与活性物质之间的接触就成了比较突出的问题,因此目前许多研究也将焦点集中在了电极界面的设计上,例如我们之前曾经报道Goodenough老爷子在今年的4月份在JACS上发文提出了一种“玻璃电解质”-聚合物电解质串联的形式,解决了正极与固态电解质接触不良的问题。近日斯坦福大学的崔屹教授在顶级期刊Advanced Material上发文提出了一种双交联(共价键和氢键交联)塑性固态电解质设计,在保持良好的电导率(0.25mS/cm)的同时也保持了优异的机械特性,采用该固态电解质的Li/LFP电池在循环300次后仍然能够保持152mAh/g的容量发挥,在严重的机械滥用情况下也不会发生热失控,极大的提高了锂离子电池的安全性。

实验中Jeffrey Lopez(本文一作)采用弹性聚环氧丙烯(ePPO)作为聚合物电解质,其中含有两种键:共价键和氢键,其中共价键能够提供足够的机械强度,氢键则能够发生断裂,吸收一定的应变,作者还在ePPO中添加了纳米SiO2和LiTFSI(锂盐),以及PC以降低电解质的玻璃化温度,提高电解质在常温下的电导率。
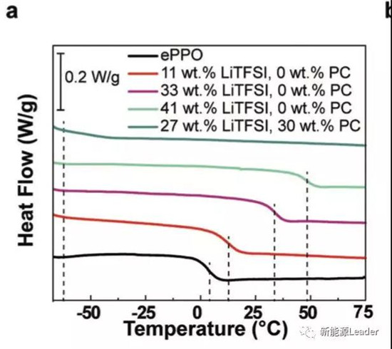
从下图能够看到,随着LiTFSI的添加量的逐渐增加,固态电解质的玻璃化转变温度逐渐提高,当LiTFSI的浓度提高到41%,固态电解质的玻璃化转变温度提高到了48℃,同时也能够观察到室温下LiTFSI含量为30%和41%的固态电解质非常僵硬,弹性很差,这也限制了其在常温下的离子电导率,为此Jeffrey Lopez还向其中添加了30%的PC,使得固态电解质的玻璃化转变温度降低到了-60℃,作者认为PC在这里的作用与传统的电解液中不同,并不会直接为Li+扩散提供通道,而是促进固态电解质片段的迁移速率,从而提升电解质的离子电导率。

为了说明PC不直接参与Li+扩散这一点,作者还对了添加PC的电解质与不添加PC的电解质在不同温度的下的电导率,从下图中能够看到在玻璃化转变温度以上时,两种电解质的电导率几乎是相同的,因此表明虽然电解质中添加了30%左右的PC,但是PC并不会直接对电解质的电导率产生贡献,主要还是软化电解质,提高电解质骨架碎片的迁移速率,从而提升电解质的电导率。
锂盐浓度也会对电解质的电导率产生显著的影响,与液态电解液不同的是在固态电解质中电解质的电导率会随着锂盐浓度的增加而持续提升,同时作者还向其中添加了少量的纳米SiO2,通过这些措施使得电导率最终达到了0.25mS/cm。

该电解质不仅具有良好的离子电导率特性,还具有非常好的机械特性,能够承受125%的形变,并且一旦外力撤去,该电解质还能够快速恢复形状,这对于适应金属Li负极在充放电过程中的形变和避免金属Li枝晶穿透固态电解质具有重要的意义。

高离子电导率和良好的机械特性使得ePPO电解质成为了金属锂电池理想的固态电解质的选择,作者以LFP为正极(PVDF粘结剂),金属Li为负极,ePPO为固态电解质(200um厚)组装了全电池,从循环伏安曲线上看该电池具有非常好的可逆性,并在循环中也没有明显的副反应,表明ePPO固态电解质在该体系中具有非常好的电化学稳定性。
下图a为Li/LFP电池在0.2C倍率下的循环曲线,同图中能够看到该电池具有非常好的循环稳定性,在第6次循环时正极材料容量发挥152mAh/g,循环300次后正极材料的容量发挥仍然能够达到144mAh/g,容量保持率达到95%,远远好于已经报道的类似电解质的循环数据(多数在10-100次)。同时得益于固态电解质的高离子电导率,使得该固态电池能够在中等电流密度(0.2C)下进行工作。

除了出色的电导率外,ePPO固态电解质良好的机械特性还为采用该电解质的固态电池带来了出色的机械特性。作者按照ePPO(60%)、LFP(35%)和CNT(5%)的比例制作了混合正极,采用金属锂作为负极制作了全电池,同时在电池中加入少量的液态电解液(划重点)以提高电极界面处的Li+电导率。该电池表现出了优异的循环性能(如下图a所示),在第2次循环时该电池的正极容量发挥为149mAh/g(0.33C),经过100次循环后正极容量发挥仍然能够啊到140mAh/g,容量保持率达到94%。
在获得优异的循环性能的同时,该电池还保持了非常好的机械特性和安全性,从下图可以看到用锤子敲击电池的测试结果可以发现,普通的液态电解质电池在遭受到猛烈的敲击后电池发生短路,而采用ePPO固态电解质的电池则成功通过了测试,没有发生短路。对采用ePPO固态电解质的电池进行弯曲和剪切等操作后,该电池都能够正常工作,表现出了极佳的安全特性。

崔屹教授采用弹性聚环氧丙烯电解质结合共价键和氢键的特性,不但具有较高的离子电导率,还保持了非常好的机械特性,使得全电池能够在中等电流密度下进行工作,大幅改善了固态电池的倍率和循环特性,同时得益于ePPO固态电解质良好的机械特性,使得采用该电解质的固态电池具有非常好的稳定性,不仅在锤击、弯折等测试中顺利通过,即便是将其剪断,该电池仍然能够正常工作,大幅提升了锂离子电池的安全性。

- 最新评论
- 我的评论