
随着人类社会发展对电力能源的依赖程度越来越强,人类社会活动对电源需求以及经济性要求越来越高,现有的柴油发电机组、铅酸电池、锂离子电池、氢燃料电池等电源难于完全满足人们对电源的安全性、经济性和长续航等多样化需求。金属燃料电池,又称为金属空气电池或金属空气燃料电池,是一种将镁、铝等轻金属为燃料的化学能直接转化为电能的装置。它具有能量密度高、低热辐射、低噪音、储存时间久、放电寿命长、适配温度范围宽、安全系数高、资源丰富及绿色无污染等优势,在智能电网、基站备用电源、岛礁供电、军事设施备用电源及电动汽车增程器等领域具有广泛的应用前景。
一直以来,铝燃料电池面临诸多技术瓶颈,如锰氧化物催化剂活性不高、空气阴极极化电阻较大、阳极铝析氢自腐蚀严重、热控制难及难以二次启动等,使得铝燃料电池产业化应用进展缓慢。中国科学院宁波材料技术与工程研究所动力锂电池工程实验室的研究团队应用石墨烯对空气阴极催化剂材料进行改性复合,大幅度提升电池电化学性能,系列研究工作发表在国际化学和电化学学术期刊上,并受邀在Journal of Materials Chemistry A上发表综述评论。
研究团队始终秉持把科技变成生产力的理念,历时近五年时间,在电池设计及系统集成技术方面进行了深入研究。2015年成功研制出能量密度400Wh/kg、容量3kWh、输出功率300W的镁燃料电池发电系统。2017年开发出高性能石墨烯基铝燃料电池核心部件,并成功研制出510Wh/kg、容量20kWh、输出功率1000W的基于石墨烯空气阴极的铝燃料电池发电系统。
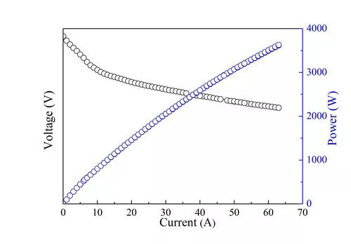
近期,该研究团队联合浙江省石墨烯制造业创新中心研发团队大力推进铝燃料电池的工艺开发和工程样机研制,成功研制出能量密度高达545Wh/kg、容量达130kWh的石墨烯基铝燃料电池发电系统,该系统由6个10单元电池串联电池堆的阵列组成。测试结果表明,50A电流放电功率可达到3000W,峰值功率预计可高达4800W。该电池系统有望应用于电动汽车等的动力电源或备用电源。为了展示该电池系统的使用效果,他们开展了对独栋建筑照明供电和石墨烯远红外能量房供电的演示。
目前,该项目已经具备铝燃料电池关键材料与部件、单体电池、1kW模块化电池堆的小批量制备能力。研发团队正在积极寻找合适的合作伙伴,旨在加快推进产业化。

- 最新评论
- 我的评论