
SEI(固态电解质膜)对电池人而言,是再熟悉不过的陌生人。说它熟悉,因为绝大多数有关电化学电池的文章都会提到它,很难绕过去它去解释实验现象;说它陌生,我们真没有想象中的那么了解它,它的成分组成,形成过程和作用机理。今天着重谈一点:我们常说SEI是固态膜,那么锂离子在其中就是固相迁移吗?这是我们平常比较少关注的一个关键点。
先讲一下德国马尔堡大学SebastianKranz等人的这项研究工作结论:
1、作者通过在平面玻碳电极上形成固态电解质界面(SEIs)模型,证明了不管有没有电解质添加剂,锂离子穿过SEI的机制均为孔隙液相扩散机制,与传统“固态电解质型”离子扩散机制的观点相反。也就是说,我们常说的固态电解质膜,锂离子和分子在其中其实是液相迁移的!
2、作者设计实验,依次得出了锂离子和二茂铁分子在SEI中扩散的有效系数,发现二茂铁的系数高于锂离子。令人惊讶的是,二茂铁的有效扩散系数略高于锂离子的有效扩散系数。
3、值得说明的是,真实电池中的SEI存在裂缝,而本文在玻碳电极上制备的SEI,由于没有机械应力作用于SEI,因此,本文中SEI的裂纹比锂离子电池中石墨颗粒的SEI中的裂纹要小得多。

一、SEI是什么?我们为什么要研究?
锂离子电池(LIB)在首次充电过程中,电解液会在石墨负极处被还原分解,在石墨颗粒的顶部形成一层钝化层。在理想情况下,该钝化层的行为类似于固体电解质,这意味着该钝化层对锂离子具有很高的渗透性,但会阻塞阴离子、溶剂分子和电子,以防止进一步的电解质分解。因此,这一钝化层被称为“固态电解质界面”(SEI),一种内部薄、外部稍厚的双层结构。然而,在实际的电池中,SEI并不能完全抑制电解液的进一步分解,由此产生的不可逆容量损失是LIBs循环寿命的一个主要问题,人们对此知之甚少,主要是对SEI的电荷传输和传质特性基本知识不够了解。
一般来说,更好地了解电荷运输和SEI形态之间的相互关系,将有助于缩短SEI形成时间,从而降低电池生产成本。为了设计和改善SEI特性,研究人员提出了两种不同的策略。第一种策略是通过选择适当的循环条件和电解质添加剂(称为“体内设计”)来影响电池循环期间的SEI特性。第二种策略是在负极上涂覆人工SEI(称为“体外设计”)。对于SEI的“体内设计”来说,研究人员已经测试了大量电解质添加剂,例如碳酸乙烯酯、碳酸氟乙烯酯和二草酸硼酸锂(LiBOB),其中LiBOB在1.7V vs. Li/Li+时分解,形成一个薄而稳定的SEI。据报道,在纯碳酸丙烯酯中添加1M LiBOB即可形成稳定的SEI,有效防止石墨负极剥落。此外,基于LiBOB的SEI具有很高的热稳定性,因此对电池在高温下的应用有很大帮助。
二、作者是怎么去研究SEI的?
虽然众多研究人员在添加剂对SEI化学成分和电池性能的影响方面,已经做了大量的工作,但是SEI传输特性的基本知识,到目前为止仍然非常有限。在作者最近的一项研究中,他们在没有任何添加剂的情况下将碳酸盐基电解质分解,并在平面玻碳电极上形成SEIs模型(J.Electrochem. Soc. 164 (2017) 3777–3784.)。在文章中,作者通过研究离子和氧化还原探针分子(二茂铁Fc/Fc+)在SEI中的扩散,证明了(Fc/Fc+)在SEI中具有相同的有效扩散系数,这有力地表明,SEIs中含有孔隙,离子和分子都在这些孔隙内的液相中传输,这与传统锂离子“固态电解质型”离子扩散机制的观点相反。
此外,作者还研究了当SEI的形成受到电解质添加剂的影响时,离子和分子在SEI的孔输运是否仍然是主要的输运机制。为此,作者在设计实验的时候,在标准电池电解液中溶解了不同量的LiBOB,并在平面玻碳电极上形成SEIs。作者不仅通过聚焦离子束扫描电子显微镜(FIB-SEM)和原子力显微镜(AFM)对SEIs的厚度和形貌进行了研究,而且还利用阻抗谱来探测SEI的离子输运阻抗,以及通过二茂铁氧化还原分子实验来探测分子在SEI中的输运。通过实验结果对比,作者计算了SEIs中离子和分子的有效扩散系数。
三、SEI的具体研究过程

3.1.如何制备可靠有说服力的有效SEI?
为了形成有效的SEIs,作者将电池进行三次循环伏安扫描,扫描区间为0.01V到3V,扫描速率为v=0.5mV/s,其结果如上图所示。在第一个循环中,1.7 V–1.5 V范围内较强的还原峰是由LiBOB分解引起的(图a)。随着LiBOB浓度的降低,还原峰的峰高和峰电位液随之降低,并且还原峰变得越来越宽。约0.6V处,碳酸盐发生还原,这表明LiBOB分解产物并不能完全阻止电解质的进一步分解。与不含LiBOB添加剂的电解质(绿色虚线)相比,碳酸盐分解将导致更少的电荷流动,并在较低的还原电位下发生。从第二和第三个循环(图b)和图c)中,可以观察到更明显的SEI钝化效果,由于碳酸盐的分解,使LiBOB的分解峰几乎检测不到,并且电流密度液降低了一个数量级以上。因此,在含锂电解质添加剂中形成的SEI,在碳酸盐分解方面表现出更强的钝化作用。

上图a显示了在没有LiBOB添加剂的情况下,负极上形成的SEI的FIB-SEM横截面图像。可以看到典型的双层结构,致密内层厚度约60nm,外层厚度在200-400nm左右。但是,当在电解液中添加5mM LiBOB后,会使SEI的厚度和结构发生显著变化,如图b所示,在FIB-SEM横截面图像中,SEI为厚度在100 nm–140nm范围内的单层结构。图c为含有5mM LiBOB电解质添加剂形成的SEI的AFM表征示意图,在测试的同时,作者还测量了尖端偏压(1V)与气相色谱电极之间的电流。尖端位于SEI的顶部,无法检测到电子电流,显示了SEI的电子绝缘性质,只有当SEI被完全移除,且尖端与GC表面接触时,才能检测到电流。通过比较GC表面的平均高度和SEI造成粗糙表面的平均高度,进一步确定出SEI的厚度为80nm,该SEI强度很高,需要高达1.7μN的力来完全去除它。
3.2. SEI中离子和分子的传输研究过程

在离子和分子的传输研究中,作者将已形成SEI的电解质换为10mM Fc,然后在3V下采集阻抗谱,并在2.8 V-3.5 V范围内收集CVs。在上图a中,作者将阻抗谱根据等效电路进行拟合,其中位于高频区的半圆便是由SEI形成的,该半圆在未形成SEI的裸GC电极的阻抗谱中并不存在。将SEI形成的半圆拟合成一个平行的RSEI|CSEI元件,RSEI为SEI产生的电阻,CSEI为SEI产生的电容。在低频区,可以检测到由双电层电容形成的尖峰,在3 V时,Fc/Fc+氧化还原电偶的电荷转移电阻非常高,因此低频阻抗占主导地位。从图a中可以看出,不含LiBOB的电解质中形成的SEI电阻最低,在含有0.5mM和5mM LiBOB的电解质中,SEI电阻最高。图b和c显示出SEI电阻和电容的随时间演变,即随着时间的增加,SEI电阻减小,达到最小值,然后开始缓慢增加。随着LiBOB浓度的增加,SEI电阻的最小值增大。与SEI电阻相比,SEI的电容对时间和LiBOB浓度的依赖性较弱。
假设SEI内部为均匀的介电材料,则SEI的厚度dSEI可以通过下列公式估算:

其中ε0为真空介电常数,εr为SEI的相对介电常数,A为电极面积。

在上表中,作者将采用相对介电常数估算出的SEI厚度与AFM表征、以及FIB-SEM表征出的SEI厚度进行比较。可以看出,只有不添加LiBOB中的电解质才会形成双层SEI,且当相对介电常数为10时,估算厚度与真实内层厚度非常接近。在含LiBOB添加剂的电解质中,形成SEI厚度,估算值小于观察值。出现这种现象的解释有两个:(i)SEI的相对介电常数大于10;(ii)只有部分SEI限制离子传输,很遗憾,目前作者也不知道哪种解释是正确的。

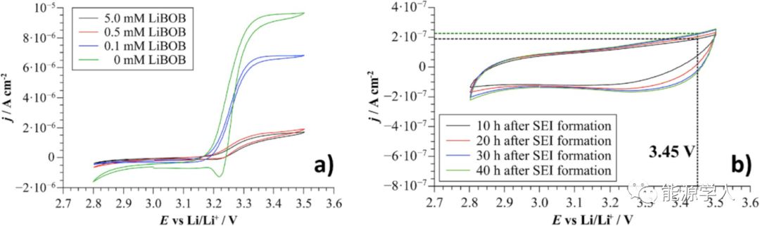
在阻抗谱测试后,作者又将电池在2.8 V-3.6 V范围进行循环伏安扫描,目的是利用二茂铁/二茂铁离子氧化还原偶(半波电位E1/2=3.24V)作为穿过SEI的分子输运探针。在图a中,显示了不同LiBOB浓度下电解质获得的循环伏安图,阳极电流在半波电位(3.24V vs Li/Li+)上方急剧增加,因此可以排除由于穿过钝化层的电子传输缓慢而产生的大动能过电位。图b中的CVs测试电池中不含Fc,但含有LiBOB作为比较。可以看出,电池形成的SEI在3.5 V下具有良好的电化学稳定性,而3.45 V下的电容电流显示值为2*10-7A/cm2,对应于20μF/cm2的双层电容。

上图为0.1mM LiBOB存在的电解质形成的SEI,其CV的实验曲线和模拟曲线对比。可以看出,在阳极区,模拟电流为零,而在阴极区,实验中检测到的阴极电流也很小,而SEI中有限的长扩散过程是模拟中没有观察到阴极电流的原因。在氧化过程中,Fc和Fc+的浓度梯度在SEI中形成,在通过SEI扩散后,Fc+的浓度仍然接近于0,这是由于Fc+的体积浓度很低,阴极扫描过程中几乎无法检测到电流。因此,有限长扩散过程导致阳极/阴极电流,与还原/氧化物质的体积浓度成比例关系。

上图左侧的四张图,作者展示了SEI可逆阻抗RSEI-1和扩散限制二茂铁负极电流janod(3.45 V)在循环伏安SEI形成后40h内变化过程。如前所述,只有当扩散限制电流值超过10-6 A/cm2时,SEI才最稳定。并且,RSEI-1和janod在不同电解质中的变化也大不相同,有效扩散系数也是如此。
3.3. 最终结论

在上图中,作者绘制了锂离子和二茂铁分子在SEI中的有效扩散系数最大值与电解质中LiBOB浓度的关系。可以看出,两种扩散系数都表现出非常相似的数值,并随LiBOB浓度的增加而减小。在此,作者跑出了最终结论,在所有SEI中,锂离子和分子的传输路径是相同的,即在SEI孔隙内的液相中发生输运。这表明,添加LiBOB会降低SEI的孔隙率,从而减慢锂离子和分子的传输。
四、小结
在本文中,作者通过合理的设计实验,研究了在碳酸盐基电解质中添加LiBOB对SEI结构和SEI输运性的影响。不含LiBOB添加剂电解质中形成的SEI呈现双层结构,但在加入LiBOB添加剂后,电解质中形成的SEI则看不到内层和外层之间的明显区别。含LiBOB添加剂的电解质中形成的SEI的总厚度在70-200nm范围内,并且会减缓锂离子和分子的运输。尽管如此,锂离子的有效扩散系数和二茂铁氧化还原分子的有效扩散系数非常相似,并且在SEI形成后呈现相同的时间变化。这有力地表明,锂离子和二茂铁分子都是在SEI孔隙内的液相中运输的,这一结果与固体电解质型输运机制的普遍观点形成了鲜明对比。

- 最新评论
- 我的评论