
高温聚合物电解质膜(HT-PEM)燃料电池的特有优势使其具有优异的发展前景,HT-PEM燃料电池不依赖液态水来提供质子传导性,因此,HT-PEM燃料电池中的水管理可以大大简化。但是水蒸气的存在仍然影响HT-PEM燃料电池的操作。此外,HT-PEM燃料电池通常不供给干燥气体,其通常与轻型化石燃料重整器集成在一起提高燃料灵活性。虽然管理HT-PEM燃料电池不依赖于加湿入口气体,但是在重整气体中发现水蒸气送入HT-PEM燃料电池。重整气通常由体积百分比为65-75%的H2、体积百分比为15-25%的CO2、体积百分比为5-15%的水、体积百分比为1-3%的CO和微量的其它杂质组成。因此,水对HT-PEM燃料电池的运行和电池性能的影响值得研究。
【工作介绍】
一些研究者研究了HT-PEM燃料电池在不同加湿条件下的性能。然而,实验结果显示出很大的差异。由于入口气体湿度对HT-PEM燃料电池性能影响的复杂性以及文献报道的阳极增湿实验结果的差异,近日,丹麦奥尔堡大学能源技术系F. Zhou, D. Singdeo, S. Knudsen K?r三人本工作系统研究了H2中的水含量对HT-PEM电池性能在不同的工作温度下研究燃料电池的影响。
结果表明,在不同的工作温度下,阳极增湿对电池性能的影响是不同的。在较低的工作温度140℃下,随着含水量的增加,电池性能逐渐降低,阳极增湿会降低电池性能,特别是70℃的高阳极露点温度下。在160℃的工作温度下,当阳极露点温度从室温升高到50℃时,电池性能会提高,当阳极露点温度进一步升高到70℃时,电池性能会略有下降,但在H2中水含量实现了最佳的电池性能。而在高工作温度下在180℃时,随着含水量的增加,电池性能显示出增加的趋势。
通过测量HT-PEM燃料电池的阻抗谱图,分析了在不同的工作温度下阳极加湿对电池性能的影响的原因。在所有操作温度下,随着阳极露点温度的升高,欧姆电阻因磷酸质子传导性的增加而略微降低,而传质电阻因H2浓度降低而增加。随着阳极露点温度的升高,电荷转移电阻的变化比欧姆电阻和质量转移电阻的变化更显著,并且受操作温度的影响。在140℃和160℃的工作温度下,电荷转移电阻首先降低,然后随着阳极露点温度的升高而增加。在180℃的较高工作温度下,电荷转移电阻呈现下降趋势。不同操作温度下电荷转移电阻的变化差异与酸水合水平的温度和通过膜的水转移的影响有关,这可能是不同操作温度下H2湿度水平对电池性能影响差异的原因。这项工作的发现意味着,当HT-PEM燃料电池在低工作温度下工作时,阳极气体中的水分含量应该最小化,以避免电池性能损失。该文章发表工程类Fuel Cells期刊上。
【详细内容】
本工作采用了一种基于丹麦电力系统MEA的HT-PEM单电池,有效面积为46.5cm(Dapozol G77 )。实验在Greenlight ( Greenlight Innovation,加拿大)燃料电池测试站进行,该测试站可以控制操作温度、反应物化学计量、反应物相对湿度。通过使用鼓泡增湿器调节反应物的露点温度( TDP )来控制反应物的湿度水平。在该工作中,在不同的操作温度和不同的阳极露点温度(TDP,a)下测量和记录电池性能。 在不同的操作温度(140℃,160℃和180℃)下,阳极露点温度从室温(23℃)升至50℃和70℃。

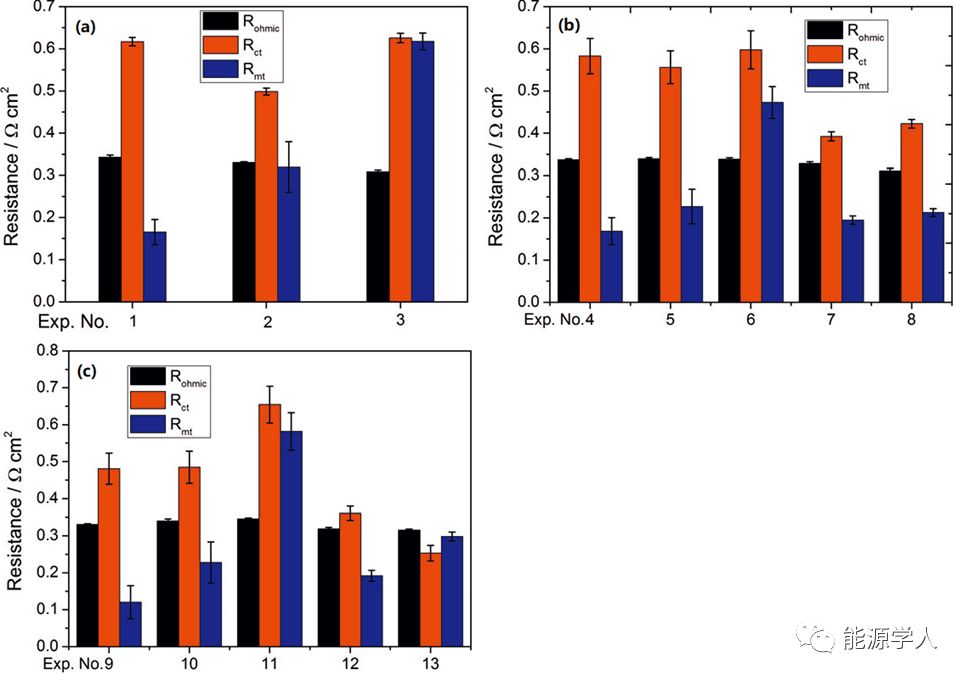
每个实验中燃料电池的运行条件列于表1中。

图1显示了在140℃的工作温度下,燃料电池在不同阳极露点温度下的极化曲线。从该图中我们可以看出,50℃阳极露点温度下的电池性能略低于室温阳极露点温度下的电池性能。高阳极露点温度( 70℃)下的电池性能严重下降,这表明在140℃的工作温度下阳极增湿对电池性能不利。

图2显示了在160℃的操作温度下,不同阳极露点温度和不同氢气浓度下的电池性能。从该图中可以看出,HT-PEM燃料电池在阳极加湿条件下(阳极露点温度为50°C和70°C )比在阳极非加湿条件下在工作温度为160℃时显示出更好的电池性能。在高电流密度范围内,阳极露点温度为70℃时,电池性能略低于在阳极露点温度为50℃时,这表明,在160℃下,在中等阳极湿度水平下实现了最大电池性能。阳极增湿可能导致H2和磷酸的稀释。H2稀释对电池性能的影响可以通过将电池性能与纯H2和N2稀释氢进行比较来说明。从图2可以看出,H2中的稀释会降低电池性能。因此,阳极增湿带来的磷酸稀释可以在160℃的操作温度下改善电池性能。

在180℃的较高操作温度下,同样进行了阳极增湿实验,结果如图3所示。类似于在160℃工作温度下的实验,即使氢气稀释导致电池性能在180℃工作温度下显著下降,电池性能也通过阳极加湿得到改善。值得注意的是,在180℃工作温度下,在电流密度的整个范围内,70℃阳极露点温度下的电池性能高于50℃阳极露点温度下的电池性能。这表明,在更高的阳极湿度水平下,在更高的工作温度下,电池性能达到最大。

图4燃料电池在不同阳极加湿条件和不同操作温度下的电化学阻抗谱: ( a ) 140℃,( b ) 160℃,( C ) 180℃。
作者为了更深入地了解不同阳极加湿条件下燃料电池内阻的变化,测量了燃料电池的阻抗谱,如图4所示。从该图中可以看出,在所有工作温度下,欧姆电阻随着阳极露点温度的增加而降低,因为当阳极湿度水平增加时,频谱与高频范围内的x轴的交点会向较低的电阻值移动。这可以通过当阳极气体中的水含量增加时酸稀释所带来的磷酸掺杂膜的质子传导性的提高来解释。在140℃的工作温度下,极化电阻随着阳极露点温度的升高而增加。在160℃的工作温度下,当阳极露点温度上升到50℃时,极化电阻下降,当阳极露点温度进一步上升到70°C时,极化电阻略有上升。而在180℃的工作温度下,极化电阻随着阳极露点温度的上升单调下降。HT-PEM燃料电池极化电阻的变化显示出与所有工作温度下(从140℃到180℃ )不同阳极露点温度下电池性能变化相同的趋势,这表明阳极加湿对极化电阻的影响是不同阳极湿度水平下电池性能变化的主要原因。

极化电阻由电荷转移电阻和质量转移电阻组成。为了区分电荷转移电阻和质量转移电阻的分布,图5是HT-PEM燃料电池测量阻抗谱中的拟合内阻: ( a ) 140℃,( b ) 160℃,( c ) 180℃。 (a)可以看出,在较低的操作温度( 140℃)下,传质阻力随着阳极露点温度的升高而增加。这可以归因于通过增加水含量来稀释氢浓度。同时,随着阳极露点温度的升高,电荷转移电阻呈现出不同的趋势。在160℃的工作温度下,由于阳极露点的升高而引起的内阻变化温度不同于140℃工作温度下的温度。内阻的变化表明,是传质阻力的增加导致了H2稀释条件下电池性能下降,如(b)所示。(c)在180℃的工作温度下,当阳极露点温度从室温升高到50℃和70℃时,质量转移增加,这种现象在140℃和160℃的工作温度下也可以观察到。同时,电荷转移阻力显示出下降趋势。不同温度下,随着露点温度的升高,电荷转移趋势的差异表明,阳极增湿对电荷转移电阻的影响会受到工作温度的影响。操作温度的影响可能与不同温度和酸浓度下磷酸的蒸汽压有关。因为磷酸的密度高于水的密度,所以酸浓度的降低导致酸-水混合物体积的增加和催化剂层中酸体积分数的增加。

如图6所示,对于固定蒸汽压,磷酸浓度随着温度的升高而增加。因此,在180℃的操作温度下,MEA中的酸浓度低于140℃的操作温度,阳极露点温度为室温。图还显示,对于固定的操作温度,较高的水分压会导致较低的酸浓度。因此,在两种操作温度下,由于阳极露点温度升高而导致的水分压升高会导致酸-水混合物体积的增加。随着本工作中阳极露点温度的升高导致酸中水含量的增加,对质子转移的贡献增加。在这种情况下,质子由水阳离子( H3O+ )形式的水分子携带。因此,从阳极到阴极的水通量增加。这可能导致阳极中的水耗尽和阴极中的水溢出,并因此导致电荷转移电阻的增加。然而,在180℃的较高操作温度下,膜和催化剂层中的酸浓度低于140℃的操作温度。由于焦磷酸( H4P2O7 )的形成,酸浓度甚至可以高于100 %。在这种情况下,由于一些水参与焦磷酸的水合作用,阳极增湿带来的含水量增加不会太大程度上增加质子转移。因此,在180℃的工作温度下,阳极增湿不会显著增加通过膜的水传输。

- 最新评论
- 我的评论