
对三元层状正极材料LiNixCoyMnzO2(x+y+z =1,NCM)表面进行Al2O3、AlPO4、TiO2等氧化物包覆是提升电池性能的有效措施,其中Al2O3包覆的NCM最为常见。一般认为NCM表面包覆能消耗电池使用过程所产生的HF、抑制三元材料中过渡金属的溶出、改善正极材料/电解液界面等,进而最终提高电池的电化学性能。最近,Jeff Dahn组对Al2O3包覆NCM改善电池性能的原因提出了一种新的见解:表面包覆的Al2O3能同LiPF6反应生成LiPO2F2,而LiPO2F2后者是目前公认的有益电池性能的电解液添加剂,从而提升了电池电化学性能。成果以New Chemical Insights into the Beneficial Role ofAl2O3 Cathode Coatings in Lithium-ion Cells为题发表在最近的ACS Appl. Mater. Interfaces上。
图文浅析:

图1. NCM523/石墨软包电池含LiPO2F2与否在40 ℃、3.0-4.3 V电压区间C/3循环电化学性能对比。
首先,作者对比了电解液含LiPO2F2与否对NCM523/石墨软包电池循环性能的影响。如图1所示,电解液中1% LiPO2F2的添加不仅显著提高了电池放电容量保持率,同时有效降低了充电和放电阶段电池平均电压的差异(也意味着降低了电池内阻),表明LiPO2F2能显著改善电池的循环性能。


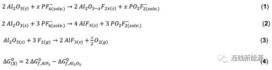
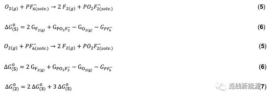
为了印证所猜测的三元正极材料表面包覆的Al2O3能同电解液中的常用锂盐LiPF6反应生成LiPO2F2,作者对各步反应的吉布斯自由能变化?G进行了计算,具体如公式(1)-(7)所示。最终计算结果显示,如果Al2O3与LiPF6按公式(2)进行反应生成LiPO2F2,反应的?G= -451 kJ/mol,这也表明从热力学上二者之间的反应是可以自发进行的。

图2. PF6–和PO2F2–的结构图及NMR差异。
尽管热力学上可行,但还是需要从实验端实际检测到LiPO2F2才能将猜测做实,为此作者设计了一系列对照实验以证明确实正极表面包覆的Al2O3能同LiPF6反应生成LiPO2F2。其中,LiPO2F2的检测主要利用NMR,具体原理如图2所示,PF6–和PO2F2–中19F和31P的化学位移信号和多重裂分信号存在差异。

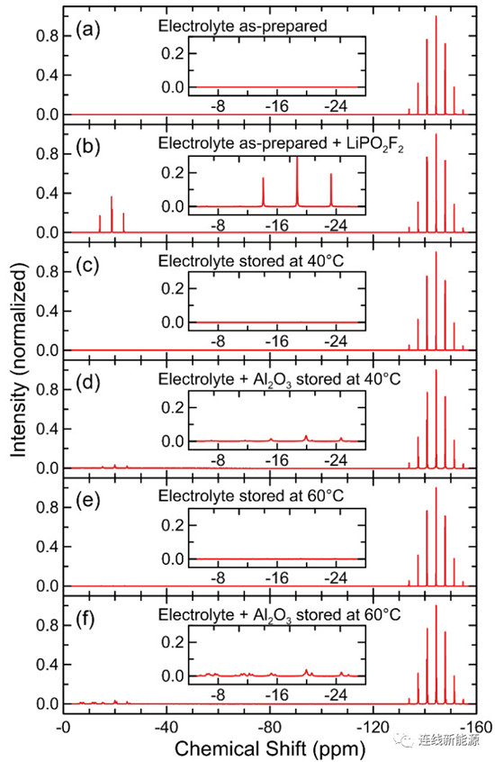
图3. 常规电解液和Al2O3粉末按10:1 (w/w)混合在不同温度下存储1周后检测到的19F核磁信号对比。内插图为放大的PO2F2–核磁信号区域。

图4. 常规电解液和Al2O3粉末按10:1 (w/w)混合在不同温度下存储1周后检测到的31P核磁信号对比。内插图为放大的PO2F2–核磁信号区域。
为了实验验证Al2O3能同LiPF6反应生成LiPO2F2,作者首先将常规电解液和Al2O3粉末混合放置,随后利用核磁检测其中是否含LiPO2F2。如图3和图4所示所示,常规电解液中不含LiPO2F2,故意加入一定量LiPO2F2后能检测到其特征信号。在未混入Al2O3粉末条件下,常规电解液即使40 ℃和60 ℃存储一周均未检测到LiPO2F2,而混有Al2O3粉末的电解液在以上两温度存储一周均检测到LiPO2F2的存在。以上结果表明Al2O3粉末能同LiPF6反应生成LiPO2F2。

图5. (a-b)无包覆的NCM622;(c-d)无包覆的NCA;(e-f) Al2O3包覆的NCM622;(g-h) Al2O3包覆的NCA。
虽然验证了Al2O3粉末能同LiPF6反应生成LiPO2F2,但表面包覆有Al2O3的正极材料能否同LiPF6反应生成LiPO2F2呢?作者主要考查了NCM622和NCA表面包覆Al2O3与否的结果,四种材料的SEM图像如图5所示。NCM622和NCA均为二次球结构,主颗粒粒径约10-15 μm,NCM622二次颗粒粒径约1 μm,NCA二次颗粒粒径约0.5 μm。

图6. 表面包覆Al2O3与否的NCM622和NCA同常规电解液按1:2混合在40 ℃放置14天后的19F核磁结果。内插图为放大的PO2F2–核磁信号区域

图7. 由图6得到的PF6–和PO2F2–在-75 ppm和-85.8 ppm处峰面积比值。
如图6所示,表面包覆Al2O3与否的NCM622和NCA同常规电解液混合放置后均能检测到LiPO2F2,且表面包覆有Al2O3的NCM622和NCA同电解液混合放置后检测到的19F信号更强,表明其中的LiPO2F2含量更高。对于表面未包覆Al2O3的NCM622和NCA同电解液混合后也能检测到LiPO2F2,作者认为原因主要有两点:(1)尽管采取了严格的水分控制措施,但正极材料表面可能还是存在少量水分;(2)正极材料表面存留Li2CO3,Li2CO3同LiPF6反应也能生成LiPO2F2。
图7对比了四种材料同常规电解液混合放置后检测到的LiPO2F2相对浓度,可以明显看到表面包覆有Al2O3的NCM622或NCA较未包覆的能检测到更多的LiPO2F2。以上结果切实证明了作者的猜想,即表面包覆的Al2O3能同LiPF6反应生成LiPO2F2,从而提升了电池电化学性能

- 最新评论
- 我的评论