
我已竭尽所能写的通俗易懂,但结果发现这篇文章还是很干,请大家提前准备好饮料哦。
电池内阻是电池性能的一个重要指标,通常可分为直流内阻(DCR)和交流内阻(ACR)。在具体讲直流内阻和交流内阻之前,带大家先看一下最简单的电池等效电路,有助于大家理解这二者的联系和区别。
最简单的一阶电池等效电路模型如图1所示,其中Vocv为电池开路电压,RΩ为欧姆内阻,Rct为电荷转移电阻,Cdl为双电层电容,Rw为扩散电阻。

图1 电池一阶等效电路模型
现在我们设想一下如何测试图1等效电路模型中的电阻:如果给电池正负极之间施加一个高频的正弦波电流信号,Cdl相当于导通短路状态,高频正弦波电流不会造成电极表面物质的消耗,因此Rct、Cdl和Rw都可以忽略,此时测试得到的就是RΩ;将正弦波电流信号的频率降低到还不会造成电极表面物质大量消耗的时候,此时Rw仍可忽略,计算得到的就是Rct和Cdl;将正弦波电流信号的频率继续降低,例如到0.1Hz,此时电池表面物质被大量消耗,需要扩散来补充消耗的物质,计算得到的就是Rw。
下面具体解释交流内阻和直流内阻。
交流内阻顾名思义就是给就是通过在电池正负极注入正弦波电流信号I=Imaxsin(2πft),同时通过另外两端在电池正负极检测得到正弦波电压信号U=Umaxsin(2πft+ψ),进而可以推导出电池的交流阻抗,具体推导过程我估计也讲不清楚,因此咱们偷懒直接看结果。
图2是电化学阻抗谱的一种表现方式,叫作奈奎斯特图,图中大概1kHz左右测得的电阻一般被认为是电池的欧姆电阻,1kHz~1Hz左右的半圆弧代表的是电池的Rct和Cdl,1Hz~mHz代表的是电池的扩散电阻。通常文献里面会这样表述:实轴的截距代表欧姆阻抗,是由电子与离子迁移阻力产生的;半圆是由电解质与电极材料界面上的电荷转移产生的;低频部分是由锂离子在电解质中的扩散和在正负极材料中的扩散产生的。

图2奈奎斯特图(Nyquist plot)
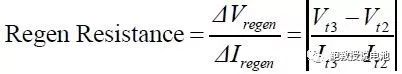
直流内阻顾名思义就是给电池施加一个直流信号来测试电池内阻,一般通过HPPC(Hybrid Pulse Power Characterization)测试计算得到,如图3所示,先施加一个30s的1C放电脉冲,搁置40s,再施加一个10s的0.75C充电脉冲。放电内阻等于放电压降与放电电流的商(图4),充电内阻等于充电压升与充电电流的商(图5)。

图3 HPPC电流时间曲线

图4 放电内阻计算公式

图5 充电内阻计算公式
那么交流内阻和直流内阻到底有什么联系呢? 0.1Hz换算一下就是10s,如果再把正弦波电流换算成方波电流,那么此时的交流内阻就变成了直流内阻,二者就这样勾搭上了,非常像高数或者物理中各种定理在边界条件时的推导和转换关系。
另外,其实电池阻抗在判断锂离子电池老化方面是非常有用的,因为锂离子电池服役过程中欧姆内阻的增长比较有限,但是随着SEI膜的增厚,以及不可逆物质在电极活性物质表面沉积,导致电荷转移阻抗和扩散阻抗不断增大,进而可以定性评估电池的老化情况。
现实情况是kHz~mHz的扫频测试对设备的要求、对测试环境的要求太高,一般用1kHz来代替,从本质上来说1kHz测试得到的主要是欧姆电阻,是不能很好的反应电池的老化的,甚至还不如直流内阻更适合用于电池老化的评估。

- 最新评论
- 我的评论