
设计高活性定性的电催化剂,一直是燃料电池的主要目标之一。在电催化剂的设计中,必须要注意一些特殊情况,比如氧还原反应缓慢的动力学、纳米颗粒固有的结构不稳定性、以及在严酷电化学条件下的电位等。现如今,形形色色的电催化剂层出不穷,如何快速筛选并优化出最佳至关重要。有鉴于此,韩国延世大学Byungchan Han等在《Current Opinion in Electrochemistry》期刊上发表综述文章,介绍了近年来第一原理计算方法在质子交换膜燃料电池电催化剂设计中的一些进展,包括电催化活性和电化学稳定性,为寻找更优异的质子交换膜燃料电池催化剂打下坚实的基础。作者认为,只有保持创新思维,才能有效突破。
【文章背景】
燃料电池是一种电化学系统,可以将储存在燃料中的能量直接转化为电能,与锂电池不同的是,燃料电池可以在燃料供应的情况下持续发电,这对汽车的长距离行驶非常有益。质子交换膜(PEM)燃料电池的关键电化学反应如式(1)所示,其中氢气和氧气反应,最终产生水和电:

理论上,燃料电池能量转换效率没有限制,但实际上,由于存在大量的活化能垒,电化学反应动力学特别缓慢,特别是ORR反应。因此,必须使用电催化剂来促进电化学反应。毫无疑问,ORR高性能电催化剂的研发是目前催化领域最热门的方向之一,即便是传统上被称为最佳催化剂的铂,其ORR效率和材料成本也不完全符合工业标准。因此,质子交换膜燃料电池电催化剂的关键问题是如何以更高的效率、更低的价格和更稳定的催化活性来替代Pt,尽管许多实验、理论模型和计算的前沿领域进行了详尽的研究,但仍没有商业化催化剂能与铂媲美。
在本文中,韩国延世大学ByungchanHan等简要回顾了基于第一原理的计算对PEM燃料电池的研究进展,作者认为要讨论的关键问题是:(i)许多电催化剂通常是纳米级别的,在相互团聚的情况下,其热力学变得很不稳定;(ii)燃料电池的电催化剂通常会暴露于一些极端条件下,这可能会降低催化剂的结构稳定性;(iii)应制定快速、准确的形式或方法,以分析从实验和计算结果中积累的大数据,快速评估替代电催化剂的催化活性。
【文章详情】
一、预测催化剂的结构和稳定性

第一性原理中的密度泛函理论(DFT)计算,现已广泛应用于预测各种分子、纳米粒子和散装材料在真空条件下的基态结构,如上图1a-c所示,与实验结果的一致性足以证明DFT计算的准确性。然而,考虑到PEM燃料电池中的电催化剂会暴露于非真空溶液中,因此需要采用更恰当的形式来正确地引入变量。
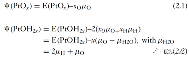
巨正则电位是开放系统内能发生物质交换的Legendre变换函数,在描述催化剂的活性时非常有用,例如,PtOx和Pt(OH)2x催化剂的巨正则电位(Ψ)可以由下式确定:
上式中E是通过DFT计算得到的内能,如图1d所示,巨正则电位的应用可以捕获基态结构,作为氧化学势μo的函数。

对于燃料电池中的电化学反应而言,铂纳米催化剂的Pourbaix图可以通过已知的能斯特方程算出:

上式中OX和Red分别代表纳米颗粒的高氧化态和低氧化态,如图1e所示,铂纳米粒子的相稳定性可由水溶液的电位和酸碱度来表示。
二、评估催化性能
评估电催化剂的热力学性能,首先应准确评估电化学反应的吉布斯自由能(ΔG),一般来说,ΔG由反应焓和熵组成。在电化学反应中,ΔG还取决于水溶液的电位和酸碱度。对于给定的酸碱度,热力学上的起始电位应该其相对于SHE的最高电位,在这个电位下,所有的电化学反应都会进行。DFT计算可以评估典型吸附气体的内能 (ΔE)、零点能量校正(ΔZPE)以及熵(ΔS) 变化,如下式所示:


上图2a,b为立方八面体铂纳米粒子ORR的吉布斯自由能图,结果表明,催化剂的起始电位与表面形貌以及反应中间体密切相关。对于性能而言,只有Pt(111)晶面更好,尤其是单晶。该方法适用于任何纯催化剂或合金催化剂,例如,图2c中显示了六方钙钛矿BaNiO3的ORR催化性能,如图所示,DFT可以通过优化材料结构(形态和组成)以获得所需的最佳催化性能。
在过去的十年中,Norskov提出的电子结构模型,即所谓的“火山图”,已被广泛用于识别最佳ORR催化剂,该理论确定了ORR的关键描述符——氧吸附能(ΔEO)作为控制参数(图2d)。优化ΔEO,对设计高效的铂替代催化剂具有重要意义。值得注意的是,很多文章里描述的催化剂都没有在市场上成功地商业化,主要问题不是催化活性,而是催化剂稳定的结构完整性,这意味着电子结构计算更广泛的应用。
三、催化剂设计策略
最近,电催化剂设计时的创新点,是克服其在PEM燃料电池中的长期稳定性问题,该方法的目的不仅在于控制核心金属的表面偏析,还在于通过氮掺杂碳(N-C)壳封装来调节氧的吸附强度。首先,利用第一性原理DFT计算,验证Pt-M核壳纳米颗粒在真空条件下是热动力学稳定的,如图2e所示。然后用几个氮碳原子层包围核壳纳米颗粒,优化氧吸附能,根据ORR的火山图,可以对封装的纳米颗粒进行优化,使其具有最佳的氧吸附能。此外,还可以评估纳米颗粒在非中性pH水溶液中的电化学溶解电位。在ORR活性和电化学稳定性方面,广泛但高通量的计算筛选导致对可替代催化剂的快速捕获,如图2f所示。

另一种对于氧气或氢气氧化还原的电催化剂,是二维过渡金属二硫族化物(2D-TMD),由S或Se与过渡金属组成。以前,人们主要研究激活析氢反应(HER)材料的边缘位置或缺陷,然而,Noh等人证明,通过适当地设计异质界面,将两个不同的二维TMDs复合,可以带宽,加强催化作用。如图3所示,作者通过筛选256种不同的2D-TMDs组合,确定最佳催化剂为NbS2。

另一个值得注意的催化剂是界面调控,即非晶态/晶体材料。如图4所示,例如,CoP@PS/NCNT核壳材料,PS的非晶态外壳有利于控制氢与钴金属之间的相互作用,从而增强了HER的活性。
【文章结论】
在本文中,作者简要总结了基于第一性原理计算,来评估燃料电池的电催化性能的进展。自从火山曲线出现以来,燃料电池领域10多年前仍然没有任何商业化催化剂以替代传统贵金属铂。因此,为了打破僵局,缩减研发成本,利用好计算是关键。从本质上说,应该开发一个统一的计算平台,能够快速分析实验,并且积累到材料信息学的大数据库中,以识别关键描述符和设计原则。值得注意的是,有几个课题组已经开始向这个方向出发,这是非常有趣的。
Seunghyo Noh, Jeemin Hwang, Joonhee Kang and Byungchan Han. First-principles computational approach for innovative design of highly functional electrocatalysts in fuel cells, Current Opinion in Electrochemistry, 2018, 12:225–232, DOI:10.1016/j.coelec.2018.11.016

- 最新评论
- 我的评论