
研究背景
经过多年的发展及反复不断的优化,目前动力电池电解液溶剂组分主要为EC、EMC、DEC、DMC和PC之间的搭配组合。其中,EC由于其低粘度和高介电常数,已成为电解液中不可或缺的溶剂组分。但是进来相关研究显示含EC电解液似乎对三元正极电池并不“友好”,如Jeff Dahn等研究显示当使用不含EC的电解液后NCM523软包电池的4.4 V高电压循环性能有显著提升[1],Hubert A. Gasteiger等研究显示三元材料在过充、加热等条件下会释放单线态氧且单线态氧更容易同EC反应生成H2O2进而恶化电池性能[2-3]。因此,对于三元正极以及高镍正极电池,从性能和安全角度出发,能否使用无EC电解液呢?
最近,德克萨斯大学奥斯汀分校的Arumugam Manthiram组对比研究了分别使用EC体系电解液和EMC体系电解液时LiNi0.94Co0.06O2电池的电性能和安全性,结果显示当使用EMC体系电解液时LiNi0.94Co0.06O2电池无论是循环、倍率还是产热均优于使用EC体系电解液。该成果以Ethylene Carbonate-Free Electrolytes for High-Nickel Layered Oxide Cathodes in Lithium-Ion Batteries为题发表在Adv. Energy Mater.上。
研究亮点
系统对比了LiNi0.94Co0.06O2在EC体系电解液和无EC体系电解液中的性能差异,利用多种手段进行了深入分析,为企业积极开发无EC体系电解液打了强心针。
图文浅析

图1. LiNi0.94Co0.06O2电池使用EC体系电解液和EMC体系电解液电性能对比
研究中作者使用的正极材料为LiNi0.94Co0.06O2,Ni含量高达0.94。如图1a所示LiNi0.94Co0.06O2颗粒为圆球形,粒径约12 μm。LiNi0.94Co0.06O2的电导率和锂离子扩散系数分别为8.6×10-5 S cm-1和0.5-1.5×10-8 cm2 s-1,高于目前正商业化使用的NCM811材料,且LiNi0.94Co0.06O2的放电比容量高达235 mAh g-1 (图1b)。相较于LiPF6 (1.0 M)/EC-EMC体系电解液,LiPF6 (1.5 M)/EMC和LiFSI (1.5 M)/EMC体系电解液通过提高锂盐浓度可以使得离子电导率更高。但值得注意的是,使用LiFSI为锂盐时有必要加入一定浓度的LiPF6 (0.5 M)以避免LiFSI对集流体所造成的腐蚀。在图1d-h中可以清晰看到使用EMC体系电解液时LiNi0.94Co0.06O2电池的循环性能明显优于使用EC体系电解液。

图2. LiNi0.94Co0.06O2电池使用EC体系电解液和EMC体系电解液倍率性能和电化学阻抗谱对比
如图2所示,使用EMC体系电解液时LiNi0.94Co0.06O2电池的倍率性能优于使用EC体系电解液,倍率结果与电化学阻抗谱结果相一致。在三元正极材料中Co是相对稀有的金属,成本高,且一般Co含量越高电池倍率性能越好。但图2结果显示通过适当调配电解液同样可以使得低钴(LiNi0.94Co0.06O2)材料拥有不错的倍率性能,这无疑对当下高镍低钴正极材料的开发具有指导意义。但是需要特别指出的是不含EC的电解液极易与金属Li发生反应,一旦电池析锂将会造成严重的产气问题,因此在使用无不含EC电解液时应特别注意添加剂的使用以形成稳定的SEI膜从而避免以上副反应的发生。

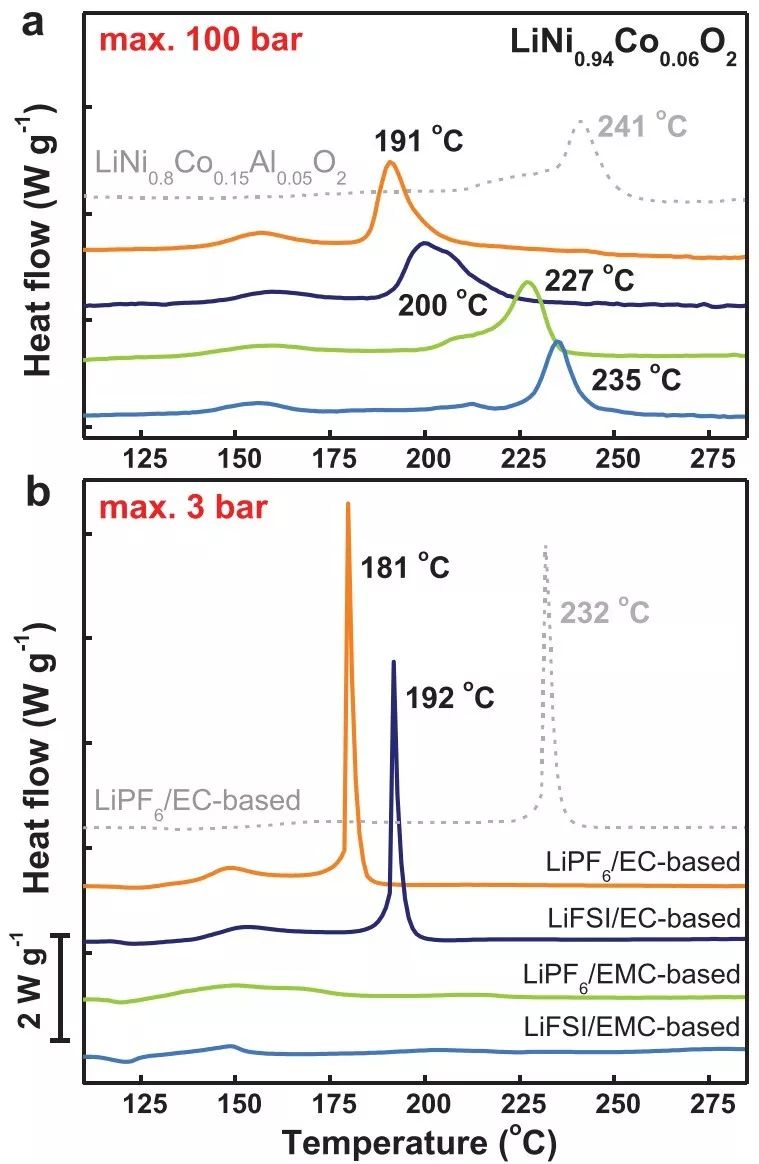
图3. 不同环境压力下充电态LiNi0.94Co0.06O2 (4.3 V vs Li+/Li)同不同体系电解液混合DSC结果对比
使用无EC体系电解液的另一大优势在于可以提升电池的安全性。对于高镍体系电池而言,虽然SEI膜分解通常是导致电池产热的起始,但电池绝大部分热量来自正极材料同电解液的化学反应。如图3所示,在最大100 bar环境压力下,使用含EC电解液时在191 ℃ (LiPF6/EC体系)和200 ℃ (LiFSI/EC体系)即出现显著的放热峰,而使用无EC的EMC体系电解液时放热峰分别出现在227 ℃(LiPF6/EMC体系)和235 ℃ (LiFSI/EMC体系),放热延后了将近35 ℃。在最大3 bar环境压力下EMC体系电解液甚至未观察到明显的放热反应,与之形成鲜明对比的是EC体系电解液放热极为突出。以上结果表明在高镍体系电池中使用EC有可能导致电池更容易发生热失控,而通过调配电解液配方尽量减少甚至避免EC的使用则可以大大降低高镍正极同电解液反应所产生的热量。

图4. 充电态LiNi0.94Co0.06O2 (4.3 V vs Li+/Li)同不同体系电解液在45 ℃混合放置一周后的TOF-SIMS结果对比
TOF-SIMS (Time-of-Flight secondary ion mass spectrometry)也叫飞行时间二次离子质谱,是将一次离子脉冲束聚焦在样品表面上,在溅射过程中产生二次离子的表面分析技术。分析这些二次离子可以得到有关表面上分子和元素种类的信息。如图4所示,在同样使用LiPF6作为锂盐的条件下,使用EC体系电解液时LiNi0.94Co0.06O2颗粒表面能观察到大量电解液分解后的残余物,而使用无EC的EMC体系电解液时LiNi0.94Co0.06O2颗粒表面的残余物量明显降低。以上结果也表明LiPF6在线性溶剂(如EMC)中有着更好的化学稳定性。

图5. LiNi0.94Co0.06O2在不同体系电解液中循环5周前后原位XRD谱图对比
除了分析LiNi0.94Co0.06O2在不同电解液中放置后的表面成分差异外,作者还利用原位XRD对LiNi0.94Co0.06O2在循环过程的结构变化进行了分析。如图5所示,LiNi0.94Co0.06O2在EC体系电解液中循环5周后(003)峰在高电压区出现了显著的分化,而在EMC体系电解液中则未出现以上分化现象,由此表明在EMC体系电解液中LiNi0.94Co0.06O2有着更好的结构稳定性,H2到H3相转变更为困难。
论文信息:
Wangda Li, Andrei Dolocan, Jianyu Li, Qiang Xie, Arumugam Manthiram. Ethylene Carbonate-Free Electrolytes for High-Nickel Layered Oxide Cathodes in Lithium-Ion Batteries. Adv. Energy Mater. 2019, 1901152.
参考文献:
[1] Remi Petibon, Jian Xia, Lin Ma, Michael K. G. Bauer, Kathlyne J. Nelson, J. R. Dahn. Electrolyte System for High Voltage Li-Ion Cells. Journal of The Electrochemical Society, 2016, 163(13): A2571-A2578.
[2] Johannes Wandt, Anna T.S. Freiberg, Alexander Ogrodnik, Hubert A. Gasteiger. Singlet oxygen evolution from layered transition metal oxide cathode materials and its implications for lithium-ion batteries. Materials Today, 2018, 21(8):825-833.
[3] Anna T. S. Freiberg, Matthias K. Roos, Johannes Wandt, Regina de Vivie-Riedle, Hubert A. Gasteiger. Singlet Oxygen Reactivity with Carbonate Solvents Used for Li-Ion Battery Electrolytes. The Journal of Physical Chemistry A, 2018, 122 (45): 8828–8839.

- 最新评论
- 我的评论