
锂离子电池在循环的过程中由于界面副反应的存在,会导致电解液在正负极的界面持续的分解,以及正极活性物质界面相变,从而引起活性Li的损失和锂离子电池阻抗的增加,因此锂离子电池的阻抗变化长期以来都是研究锂离子电池衰降的重要手段,而交流阻抗又是研究锂离子阻抗特征变化的主要方式,因此得到了广泛的应用。
近日,国防科技大学、中南大学和清华大学的Xing Zhou(第一作者)、Jun Huang(通讯作者)、Zhengqiang Pan(通讯作者)和Minggao Ouyang(通讯作者)等人利用弛豫时间分布(DRT)和物理模型的方法对锂离子电池在45℃高温循环中阻抗特征的变化进行了研究。

实验中作者采用了三只NCM111/石墨软包电池,电池容量为24Ah,其中1#电池未进行循环,2#电池在45℃下循环750次,3#电池在45℃下循环1000次,电池的基本信息如上表所示。
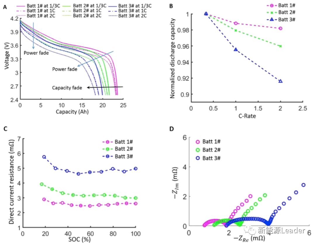
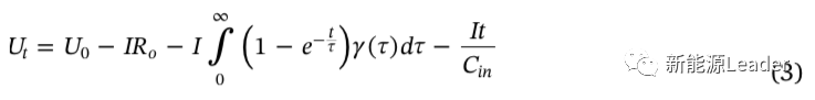
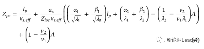
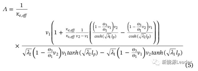
下图a为三只电池在不同倍率下的放电曲线,从图中能够看到随着锂离子电池衰降程度的增加,其电池容量出现了显著的衰降,并且电池极化也明显增加,从下图c也能够注意到随着锂离子电池老化程度的增加,电池的直流阻抗也出现了显著的增加,但是由于直流阻抗的特点,我们无法对不同阻抗类型对直流阻抗增加的贡献进行区分。

为了分析锂离子电池中不同阻抗对于锂离子电池衰降阻抗增加的贡献,作者采用弛豫时间分布(DRT)的方法对交流阻抗(EIS)信息进行了分析。通常来说我们认为锂离子电池的阻抗主要可以分为四个部分:1)欧姆阻抗Ro,主要包含电解液的离子阻抗和电极的电子阻抗;2)接触阻抗Rc,主要包含活性物质颗粒之间和活性物质与集流体之间的接触阻抗;3)界面阻抗,主要包含Li+扩散通过SEI膜阻抗和电荷交换阻抗;4)扩散阻抗Rd,主要是Li+在活性物质和电解液中的扩散阻抗。由于上述四种阻抗的时间常数不同,因此也就对交流电压信号响应速度不同,因此我们可以通过DRT的方法实现对不同阻抗类型的区分。
通常我们认为锂离子电池的交流阻抗可以用下式表达,其中γ表示极化损失的时间分布,Cin为嵌入过程中的电容,而DRT的主要目的就是通过Z(f)确定γ(t)

下图a为电池1#在0%-100%SoC状态下的交流阻抗图谱(25℃),作者根据EIS测试结果计算了电池的弛豫时间分布(如下图b所示),根据DRT曲线的特点可以分为四个部分,S1-S4,分别代表不同的阻抗类型。从下图b能够看到S1和S2与电池的SoC之间几乎没有关联,而S3和S4则和电池的SoC之间存在密切的相关性,因此作者认为S3和S4分别代表的界面的阻抗和扩散阻抗。
为了进一步确定S1和S2的阻抗类型,作者又对不同温度下电池的DRT进行了分析,从下图能够S1-S3都与温度具有很强的相关性,但是相比于S2,S1的温度相关性比较低,因此作者认为S1主要反应的是接触阻抗,由于S3与SoC之间有密切的关系,因此S3可以认为是电荷交换阻抗Ri2,而S2与SoC关系较弱,与温度关系密切,因此S2为Li+扩散通过SEI膜的阻抗Ri1。
确定了不同时间常数对应的阻抗类型,接下来我们可以通过不同阻抗的时间常数的上下限计算不同阻抗的大小,计算公式如下式2所示。


下图展示了锂离子电池中不同阻抗类型对于锂离子电池阻抗的贡献比例(25℃,50%SoC),可以看到Li+的扩散阻抗Rd占比最大,达到59%,随后是欧姆阻抗Ro的15%,然后是Li+在SEI膜中的扩散阻抗Ri1的13%,然后是界面电荷交换阻抗Ri2的8%,最小的为接触阻抗Rc的6%。根据下式3作者计算了在恒流放电的过程中电池中不同阻抗对锂离子电池电压衰降的影响,可以看到欧姆阻抗、接触阻抗和界面阻抗造成的电压衰降在几秒中时间内就已经建立,随后电压的衰降主要是扩散阻抗缓慢建立的过程。


下图a为三只电池的弛豫时间分布曲线,并根据公式2计算了不同阻抗类型的大小,结果如下图b所示,下图c则展示了三只电池的总阻抗的差异,从下图可以看到电池1#阻抗为4.75mΩ,电池2#阻抗为6mΩ,电池3#阻抗为8.8 mΩ,可以看到电池衰降越大则电池的阻抗增加也就越明显。我们对比电池1#和电池3#的阻抗变化,可以看到扩散阻抗Rd增加了1.94 mΩ,SEI膜阻抗Ri1增加了0.15 mΩ,电荷交换阻抗Ri2增加了0.55 mΩ,接触阻抗Rc增加了0.30 mΩ,欧姆阻抗Ro增加了1.10mΩ,分别占阻抗增加的48%、4%、14%、7%和27%。

从上面的分析不难看出扩散阻抗Rd在锂离子电池阻抗增加中的占比最大,而作者认为低频下Li+的扩散阻抗主要由两部分组成:1)Li+在固相活性物质中的扩散阻抗;2)Li+在电解液中的扩散阻抗,为了实现对这两种扩散阻抗的区分,作者采用了多孔电极模型的方式对电极的阻抗行为进行分析,多孔电极的阻抗模型如下式4所示。

其中变量定义如下所示

公式中的常数如下式所示


利用上述的多孔电极模型,作者对三只电池的EIS曲线进行了仿真,仿真结果如下图A所示,可以看到仿真结果可以与实验结果完美符合,在大部分的频率范围内误差在5%以内,仅在高频区由于电感的存在使得误差有所增加。

为了分析低频区扩散阻抗的构成,作者在上述模型中分别调节电解液和固相扩散常数(增加1倍和减少一半)看对扩散阻抗的影响,根据下图所示的拟合结果可以看到低频区的扩散阻抗对电解液扩散阻抗的变化更为敏感,因此作者认为扩散阻抗是由液相扩散主导的,但是小编认为由于电解液的扩散系数比固相扩散系数高4-5个数量级,这里液相扩散系数的变化数值是固相扩散的数千倍,自然模型对于液相扩散系数变化更为敏感,但是实际中液相扩散系数是否会有这么大的变化还需要进一步的验证。

通过弛豫时间分布DRT曲线的方法可以看到在锂离子电池在老化的过程中阻抗增加的主要来源是扩散阻抗Rd的增加,约占电池阻抗增加的48%左右,其次是欧姆阻抗Ro,约占阻抗增加的27%左右。根据物理模型分析,锂离子电池的扩散阻抗主要由液相扩散和固相扩散阻抗构成,其中液相阻抗在扩散阻抗中占据主导,因此锂离子电池老化过程中的扩散阻抗增加可能主要来自电解液的衰降。


- 最新评论
- 我的评论