
随着锂离子电池能量密度的不断提升,高镍正极匹配硅碳负极已经成为下一代高能量密度锂离子电池的标准配置,但是高镍材料材料对电解液的氧化性显著增加,而硅碳负极体积变化的显著增大,也造成负极界面的稳定性降低,因此相比于传统的三元/石墨体系,高镍/硅碳体系锂离子电池在循环寿命衰降和存储寿命衰降等方面有其自身的特点。
针对高镍/硅碳体系的研究多数集中在其循环衰降机理上,对其存储衰降研究的相对比较少,近日德国慕尼黑工业的大学的I. Zilberman(第一作者,通讯作者)和J. Sturm等人对高镍/硅碳体系的18650电池在长期存储过程的容量衰降机理和自放电特性进行了研究分析,研究表明对于高镍/硅碳体系锂离子电池在存储过程汇总的容量衰降主要来自于负极的活性物质损失。
实验中作者使用的是来自LG化学的INR18650-MJ1电池,电池容量3.5Ah,能量密度为259.6Wh/kg,正极材料为高镍NCM,负极为Si/石墨复合,然后电池分别被充电至不同的SoC进行为期11个月的存储实验。

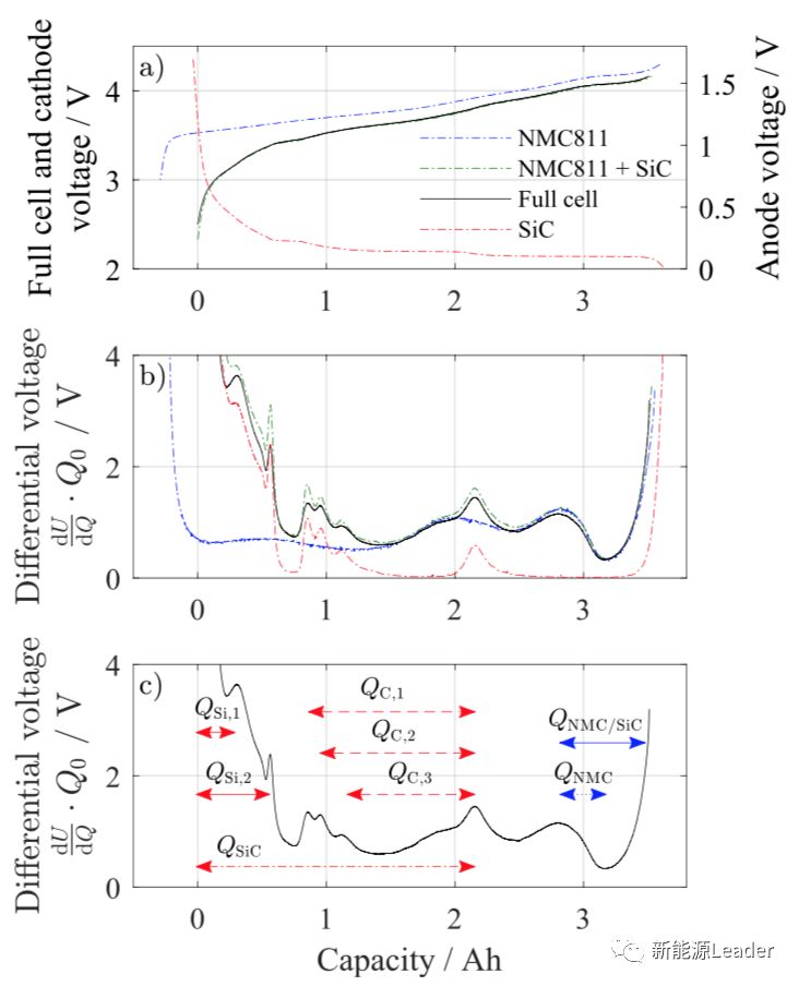
下图a为不同SoC存储的电池在存储11个月后电池的容量衰降,从图中我们能够看到锂离子电池在存储过程中的容量衰降与电池的SoC呈现的明显的相关性,如果我们将容量衰降与SoC之间的关系曲线(下图a)与负极电压与SoC之间的关系曲线(下图c)对比就可以发现两者在形状呈现出惊人的相似性,这表明存储过程中负极的电位与锂离子电池的存储容量衰降之间存在密切的相关性。
锂离子电池存储过程中由于界面副反应的存在,也会导致锂离子电池内阻的升高,从下图b我们能够看到在SoC低于58%时,电池内阻增加了4%,当电池SoC高于58%时电池内阻增加显著增多,最高增加了6%。

为了分析不同SoC状态下存储锂离子电池衰降的原因,作者采用了电压差分曲线的方法对锂离子电池进行了分析,电压差分曲线是分析锂离子电池内部反应机理的有效手段,我们从下图b中的负极电压差分曲线中能够看到石墨的主峰在2.17Ah附近,在此处负极发生了LiC12到LiC6的相变,同时我们能够看到由于负极加入部分的Si元素,因此我们在0%-15%SoC之间观察到了Si形成的特征峰,根据这些特征峰的位置作者在下图c中标示出了Si成分的容量和石墨成分的容量。

根据上面的方法,作者采用电压差分曲线的方式分离了负极中的Si材料容量损失和石墨材料容量损失(如下图a所示),我们从下图a中能够看到存储过程负极的容量持续降低,由于该电池的负极几乎没有冗余,因此我们看到负极的容量损失几乎与全电池的容量损失相同,表明高镍/硅碳锂离子电池的存储容量损失主要是来自于负极的活性物质损失。
通过电压差分曲线我们不仅能够判断负极的活性物质损失,我们还能够对负极中Si容量损失和石墨容量损失进行区分,从下图我们能够看到石墨材料的容量仅发生了轻微的下降,而Si材料的容量下降要显著的高于石墨材料,这表明负极在存储过程中发生的活性物质损失主要是来自于Si材料。
而从下图b展示的正极电压差分曲线能够到,正极的容量围绕着1进行无规律的波动,这也表明在该电池存储的过程中正极几乎没有发生活性物质的损失。

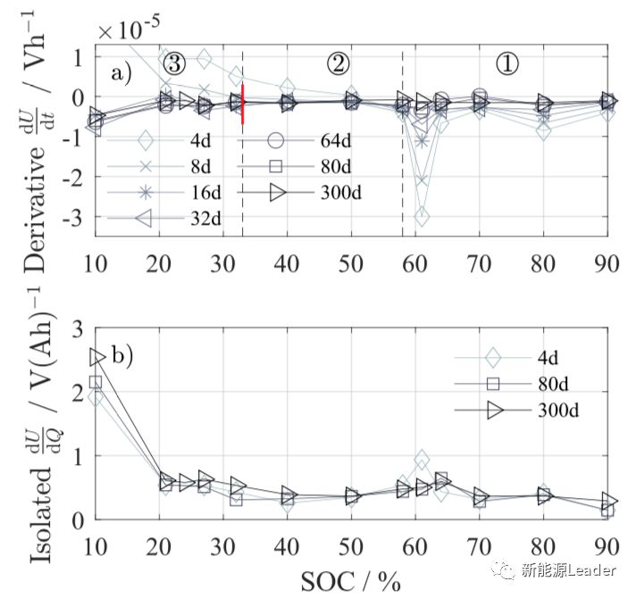
为了表征不同SoC状态下锂离子电池的自放电速率,作者在这里引入了自放电电流的概念,可以采用下式进行计算,式中第一项为容量与电压之间的关系曲线的斜率,第二项为在存储过程中电压随时间变化曲线的斜率,两者相乘就能够得到锂离子电池的自放电电流。

下图为作者测得到锂离子电池在存储的过程中电压随时间变化曲线的斜率,以及不同SoC状态下电池容量随电压变化的曲线的斜率。有了这两个数据我们就可以根据上式计算锂离子电池在不同的SoC状态下存储的自放电电流。

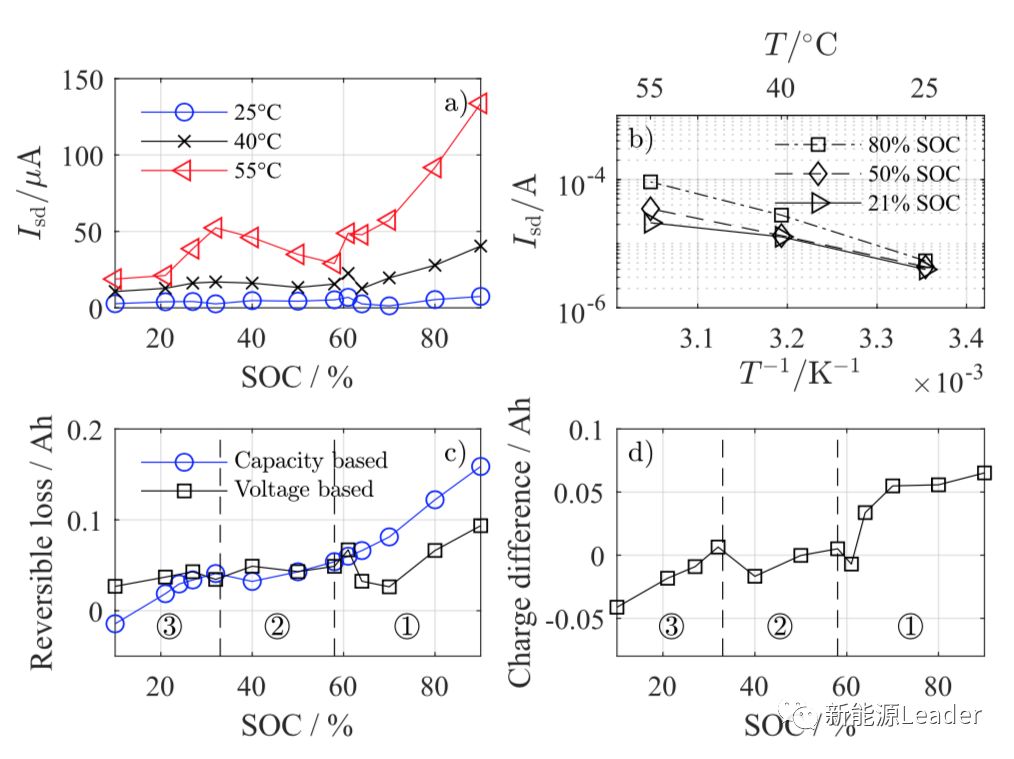
下图a为作者计算得到了锂离子电池在不同SoC、不同温度下的自放电电流,从图中我们能够注意到电池的自放电电流与温度之间存在密切的关系,例如同样在90%SoC状态下,55℃时电池的自放电电流达到135uA,但是25℃下自放电电流仅为2-4.5uA,相当于每个月损失0.04%-0.1%的容量,这一现象表明存储过程中的自放电更多是源于界面的一些副反应,而不是我们通常认为的软短路。下图c是作者根据自放电电流计算得到的容量衰降和实际测得的容量衰降数据,从图中可以看到在较低的SoC下,自放电电流的结果偏高,而在极高的SoC下自放电电流方法得到的结果偏低。

I. Zilberman的研究表明对于高镍/硅碳体系电池而言,存储过程中的容量损失主要来自于负极的活性物质损失,而活性Li的损失仅占到了锂离子电池容量损失的一小部分。锂离子在存储过程中的自放电电流大多数来自于界面的副反应,而不是来自于软短路。


- 最新评论
- 我的评论