
石墨烯及其衍生物,经常被称作“无金属”催化剂,在电化学反应如HER和ORR中显示出不俗的活性。然而,这类材料中往往含有些许金属杂质,在电催化中起到关键的作用。因此,单纯的将这些催化剂称为“无金属”是不准确的。在本文中,捷克共和国布拉格化工大学Zdenek Sofer等人制备出不含杂质的高纯石墨烯,通过在各种电化学环境下分析,发现高纯石墨烯在催化领域的活性几乎为零。
【研究亮点】
1. 作者利用卤素气体和金属可在超高温下反应这一特点,将电热蒸汽法和ICP-OES联用,获得超高纯度的石墨烯材料。
2. 通过采用不同的氧化还原探针,作者证明了高纯度石墨烯基本上没有任何电化学活性,ORR和HER催化效果基本为零。
【研究背景】
石墨烯(Graphene)是一种由碳原子组成的二维碳纳米材料,科学家在20世纪40年代就对类似石墨烯的结构进行过理论研究,但在此后很长时间里,制取单层石墨烯的努力一直没有成功,有人认为这样的二维材料是不可能在常温下稳定存在的。2004年10月,英国曼彻斯特大学科学家安德烈·海姆和康斯坦丁·诺沃肖洛夫共同发表在《Science》杂志上的一篇论文推翻了这种认知。2010年, 瑞典皇家科学院将诺贝尔物理学奖授予两位作者,以表彰他们在石墨烯材料方面的卓越研究。作为目前发现的最薄、强度最大、导电导热性能最强的一种新型纳米材料,石墨烯被称为“黑金”,是“新材料之王”,有科学家预言石墨烯极有可能掀起一场席卷全球的颠覆性新技术新产业革命,将彻底改变21世纪。
在过去的十年里,石墨烯及其衍生物一直是无金属电催化材料重点研究对象,尤其是杂原子掺杂(氮、硫等)石墨烯,是优异的ORR、HER等反应催化剂。在这类文章中,掺杂后的石墨烯通常和未掺杂时会做个对比,以表示杂原子对催化活性的提高作用。一般来说,石墨烯的合成分为两步,即先氧化石墨,剥离得到氧化石墨烯纳米片后再将其还原,该法引入含氧官能团的同时,还会引入一些金属离子,而高温或化学还原并不能完全除去,因此常规的石墨烯中通常存在许多杂质(Proc. Natl. Acad. Sci. U. S. A. 2012, 109,12899-12904.)。
那么问题来了,石墨烯及其衍生物的催化活性究竟来自何处?堪比贵金属的催化活性到底来自石墨烯本身,还是来自材料中的杂质?
因此,捷克共和国布拉格化工大学Zdenek Sofer等人将氧化石墨烯置于卤素气氛中超高温(超过2000 °C)还原,加以改性电热蒸汽法辅助,制得不含任何杂质的超纯石墨烯材料,并采用ICP-OES实时在线监测纯度。通过中子活化分析证实了材料纯度后,作者对超纯石墨烯和还原氧化石墨烯的催化性能进行对比,探究石墨烯基材料的催化活性来源。
【研究内容】

上图表示超纯石墨烯的制备方法:
采用Hofmann法制备一些氧化石墨,记为Ho-GO。
采用Hummers制备一些氧化石墨,记为Hu-GO。
用水合肼对两种氧化石墨进行化学还原,得到的石墨烯分别记为Ho-CRG和Hu-CRG。
热还原剥离的两种石墨烯分别记为Ho-TRG和Hu-TRG。
随后作者采用电热蒸汽法对石墨烯进行提纯,将石墨烯放入石墨化高温炉中,95s加热至2500°C,然后3分钟内冷却至室温。在氩气中通入二氯二氟甲烷气体作为高温气氛,通过ICP-OES在线监测金属杂质,重复电热过程,直到没有金属杂质存在后,于纯氩气氛中再次煅烧以去除材料中的氯和氟。将超纯度的石墨烯记为Ho-pure和Hu-pure。


为了去除基质效应的影响,作者对所有样品均进行中子活化分析(NAA),如上表所示。可以看出,该检测方法的灵敏度极高,可以达到毫克/千克和微克/千克水平。在表中,我们可以发现金属杂质(如锰和铁)的微量浓度低于1毫克/千克,这表示仍有部分杂质残留在石墨烯片中。但这些杂质并不影响电化学行为,它们不与周围环境接触,完全被石墨烯覆盖。同时,NAA检测到了卤素,其中氟元素仅存在于Ho-CRG和Ho-pure中,氯元素的浓度基本上没有变化。此外,纯化后的石墨烯中检测到微量碱金属,作者认为这些碱金属来自二次污染,例如空气或样品储存容器中。


上图为几种样品的XPS表征,作者发现,所有样品中只检测到碳和氧,并没有检测到任何氮元素。


从上图的C1s高分辨XPS光谱中,可以清楚看到GO的还原程度。在上表中可以看出,与CRG相比,TRG样品的氧官能团更少,这事因为水合肼还原不能除去羟基。但是不管怎么说,纯化后的石墨烯中含氧官能团进一步减少,而且纯石墨烯中的π–π*相互作用也更少,这表示本文采用的电热蒸汽法并不会导致石墨烯的团聚。

除了化学组成外,电热纯化过程对石墨烯的结构也有着显著影响,如上图所示,可以看到纯化对晶格结构的改变。理论上,石墨烯的TEM应该是单层或多层的纳米片,但是由于材料中存在大量缺陷,使其看上去褶皱曲折。但是,从上图中可以明显看出,高纯石墨烯基本没有褶皱形貌,而且高分辨图可以清晰的看到晶格条纹。

结构变化从选区电子衍射(SAED)中也可以看出,如上图所示。与含有缺陷的石墨烯相比,高纯石墨烯的电子衍射晶格非常清晰。但是不同方法制备的石墨烯仍旧有些差别,比如Hummers法制备的CRG和TRG材料,其衍射图比Hoffman法更加模糊,这是因为Hummers法条件比较苛刻,形成的结构缺陷更多。

一般来说,石墨烯的拉曼光谱由D带波段和G带波段组成,分别位于1270和1580 cm–1左右,D带强度与结构缺陷有关,而G带表示石墨化程度。此外,在2460、2700、2940和3250 cm–1处可观察到其他振动带,如G*, G′, D + D′, and 2G (Nano Lett. 2010, 10,751-758.)。通常以D带强度与G带强度之比来表示石墨烯材料的内部缺陷密度,如上图所示,CRG样品的ID与IG比值最高,这是由于化学还原比热还原效率更低,导致更多的缺陷产生;TRG样品的ID与IG之比约为1,虽然石墨化程度有些许改善,但材料中仍有大量缺陷;相比之下,高纯石墨烯的D带几乎完全消失,ID/IG比降低到0.05以下,这表示材料内部石墨结构的恢复。

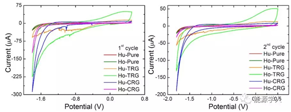
接下来,作者采用对金属离子高度敏感的氧化还原探针,对几种石墨烯样品的固有电化学活性进行分析。如上图所示,高纯石墨烯基本没有任何电化学活性。

上图是作者采用[Fe(CN)6]3-/4-内探针和[Ru(NH3)6]2+/3+外探针测出的循环伏安图,从图中可以计算出非均质电子转移速率(HET),以及峰间分离值(ΔE),详情见下图。

应当注意的是,[Ru(NH3)6]2+/3+外探针仅受电化学活性位点数量的影响,即石墨烯边缘和缺陷的数量控制着电子转移过程,基面的活性忽略不计。而[Fe(CN)6]3-/4-内探针不仅受电化学活性位点数量的影响,而且对氧官能团的存在也非常敏感。上图(A)为[Ru(NH3)6]2+/3+外探针测试结果,(B)为[Fe(CN)6]3-/4-内探针测试结果。高纯石墨烯样品的ΔE值最大,几乎超过300 mV,而TRG样品的ΔE值不及高纯石墨烯样品的一半,ΔE值的增加表示材料内部含氧官能团的减少,与XPS分析结果一致(Sci. Rep.2013, 3, 2248-7.)。

最后,作者对几种材料的电催化性能进行测试,首先是氧还原反应(ORR)。最近的研究表明,杂原子掺杂石墨烯材料的ORR催化活性是由杂质和掺杂的协同作用引起的,而不是掺杂本身(Chem. - Eur. J. 2018, 24, 928-936)。上图为几种材料的LSV曲线,果不其然,高纯石墨烯的ORR催化活性基本为零,Hu-TRG的极限电流最大,Hu-CRG的过电位最低。

接下来是析氢反应(HER),LSV极化曲线如上图所示。与其它石墨烯材料相比,高纯石墨烯催化HER并没有ORR那么惨,但过电位也是几种材料中最高的。

肼、硫化氢、过氧化氢异丙苯(CHP)也经常被用作氧化还原探针,如上图所示,(a)为肼,(b)为硫化氢,(c)为过氧化氢异丙苯。有趣的是,在水合肼中,高纯石墨烯有一些催化活性,但是,Ho-TRG、Ho-CRG、Hu-CRG的活性仍高于高纯石墨烯。而其它两种探针并没有检测到高纯石墨烯的任何催化活性。

- 最新评论
- 我的评论